Tabelle 50.1. Dampftafel für das Nassdampfgebiet von Aceton (CH3COCH3). Der Nullpunkt der spezifischen Enthalpie h liegt im gasförmigen Standardzustand (t0 = 25 °C, p0
= 100 kPa) des idealen Gases, die spezifische Entropie s ist die konventionelle (absolute) Entropie basierend auf der Standardentropie S0 = 295,658 J/(mol K) nach A. Burcat. Um die Werte nach IIR-Standard zu erhalten, muss zu den Enthalpiewerten Δh = 792,895 kJ/kg und zu den Entropiewerten Δs = -2,26679 kJ/kg K addiert werden. Berechnet
mit der Zustandsgleichung von E.W. Lemmon und R. Span: Short Fundamental Equations of State for 20 Industrial Fluids. J.
Chem. Eng. Data, 51(3), 785-850, 2006.
-----------------------------------------------------------------------------t p v' v" h' h" Δhv s' s"
°C kPa dm³/kg m³/kg kJ/kg kJ/kg kJ/kg kJ/kg K kJ/kg K
-----------------------------------------------------------------------------
-94,65 0,00233 1,0951 10983,24 -784,74 -135,64 649,10 2,4060 6,0423
-90 0,00442 1,1012 5926,00 -775,49 -130,95 644,54 2,4571 5,9763
-85 0,00848 1,1078 3175,15 -765,53 -125,87 639,66 2,5108 5,9105
-80 0,01565 1,1144 1766,45 -755,55 -120,74 634,81 2,5631 5,8497
-75 0,02788 1,1211 1017,32 -745,56 -115,57 629,99 2,6142 5,7935
-70 0,04806 1,1279 604,85 -735,55 -110,36 625,19 2,6641 5,7415
-65 0,08041 1,1347 370,35 -725,53 -105,11 620,41 2,7128 5,6934
-60 0,13085 1,1415 233,01 -715,49 -99,83 615,66 2,7605 5,6488
-55 0,20751 1,1485 150,33 -705,43 -94,50 610,92 2,8071 5,6076
-50 0,32130 1,1555 99,28 -695,35 -89,15 606,20 2,8528 5,5694
-45 0,48656 1,1626 67,00 -685,25 -83,75 601,49 2,8976 5,5339
-40 0,72172 1,1698 46,13 -675,12 -78,33 596,79 2,9415 5,5011
-35 1,05009 1,1771 32,36 -664,96 -72,88 592,09 2,9846 5,4708
-30 1,50061 1,1845 23,10 -654,78 -67,39 587,38 3,0269 5,4426
-25 2,10867 1,1920 16,76 -644,56 -61,89 582,68 3,0685 5,4166
-20 2,91687 1,1996 12,35 -634,31 -56,35 577,95 3,1094 5,3924
-15 3,976 1,2074 9,22713 -624,02 -50,800 573,22 3,1496 5,3701
-10 5,345 1,2152 6,98616 -613,69 -45,227 568,46 3,1893 5,3495
-5 7,093 1,2232 5,35539 -603,31 -39,635 563,68 3,2283 5,3304
0 9,299 1,2314 4,15318 -592,89 -34,028 558,87 3,2668 5,3128
5 12,053 1,2397 3,25605 -582,43 -28,406 554,02 3,3048 5,2966
10 15,454 1,2481 2,57885 -571,91 -22,773 549,13 3,3422 5,2816
15 19,616 1,2567 2,06212 -561,33 -17,129 544,20 3,3792 5,2678
20 24,662 1,2655 1,66378 -550,70 -11,478 539,22 3,4158 5,2552
25 30,727 1,2745 1,35374 -540,01 -5,820 534,19 3,4519 5,2436
30 37,960 1,2837 1,11023 -529,26 -0,159 529,10 3,4876 5,2330
35 46,521 1,2930 0,91731 -518,44 5,505 523,95 3,5230 5,2233
40 56,582 1,3027 0,76323 -507,56 11,169 518,73 3,5580 5,2145
45 68,325 1,3125 0,63922 -496,61 16,829 513,43 3,5926 5,2065
50 81,947 1,3226 0,53867 -485,58 22,485 508,06 3,6270 5,1992
55 97,655 1,3329 0,45658 -474,48 28,133 502,61 3,6610 5,1926
60 115,666 1,3436 0,38911 -463,30 33,770 497,07 3,6947 5,1868
65 136,210 1,3545 0,33332 -452,03 39,393 491,43 3,7282 5,1815
70 159,526 1,3658 0,28691 -440,69 44,999 485,69 3,7614 5,1768
75 185,864 1,3774 0,24808 -429,26 50,584 479,84 3,7944 5,1727
80 215,482 1,3893 0,21541 -417,74 56,143 473,88 3,8271 5,1690
85 248,652 1,4016 0,18779 -406,12 61,672 467,79 3,8597 5,1658
90 285,651 1,4144 0,16433 -394,41 67,166 461,58 3,8920 5,1630
95 326,768 1,4276 0,14430 -382,60 72,619 455,22 3,9241 5,1606
100 372,300 1,4413 0,12712 -370,69 78,026 448,71 3,9561 5,1586
105 422,552 1,4554 0,11233 -358,67 83,380 442,05 3,9879 5,1569
110 477,840 1,4702 0,09954 -346,54 88,674 435,21 4,0196 5,1554
115 538,488 1,4855 0,08843 -334,29 93,899 428,19 4,0511 5,1542
120 604,830 1,5015 0,07876 -321,92 99,046 420,97 4,0825 5,1532
125 677,207 1,5182 0,07029 -309,43 104,107 413,54 4,1138 5,1524
130 755,972 1,5357 0,06287 -296,81 109,069 405,88 4,1450 5,1518
135 841,487 1,5540 0,05632 -284,06 113,921 397,98 4,1761 5,1512
140 934,127 1,5732 0,05055 -271,16 118,650 389,81 4,2071 5,1507
145 1034,276 1,5935 0,04542 -258,11 123,239 381,35 4,2382 5,1502
150 1142,331 1,6149 0,04087 -244,90 127,672 372,58 4,2691 5,1496
155 1258,705 1,6376 0,03681 -231,53 131,929 363,46 4,3001 5,1490
160 1383,824 1,6617 0,03318 -217,98 135,987 353,96 4,3311 5,1483
165 1518,133 1,6874 0,02992 -204,24 139,820 344,06 4,3621 5,1474
170 1662,095 1,7150 0,02699 -190,29 143,397 333,69 4,3932 5,1462
175 1816,196 1,7446 0,02435 -176,12 146,683 322,80 4,4244 5,1447
180 1980,947 1,7767 0,02195 -161,71 149,634 311,35 4,4558 5,1428
185 2156,892 1,8116 0,01978 -147,04 152,196 299,23 4,4873 5,1404
190 2344,606 1,8499 0,01780 -132,06 154,304 286,37 4,5190 5,1373
195 2544,712 1,8923 0,01599 -116,75 155,876 272,63 4,5511 5,1335
200 2757,883 1,9397 0,01433 -101,05 156,801 257,85 4,5836 5,1286
205 2984,857 1,9936 0,01279 -84,88 156,934 241,82 4,6167 5,1224
210 3226,459 2,0561 0,01137 -68,14 156,067 224,21 4,6505 5,1145
215 3483,623 2,1304 0,01003 -50,65 153,885 204,54 4,6854 5,1044
220 3757,443 2,2226 0,00875 -32,13 149,867 182,00 4,7219 5,0910
225 4049,258 2,3455 0,00751 -11,96 142,996 154,95 4,7613 5,0723
230 4360,888 2,5368 0,00620 11,58 130,565 118,98 4,8067 5,0432
234,95 4692,416 3,6634 0,00366 72,26 72,259 0,00 4,9247 4,9247
Tabelle 50.2. Tabelliert sind für Aceton die Sättigungsgrößen isobare Wärmekapazität cp' und cp", isochore Wärmekapazität cv' und cv", dynamische Viskosität η' und η" sowie die Wärmeleitfähigkeit λ' und λ" als Funktion der Temperatur t. Dampfdruck p nach Tabelle 50.1.
-----------------------------------------------------------------------------t cp' cp" cv' cv" η' η" λ' λ"
°C J/g K J/g K J/g K J/g K mPa s μPa s W/m K mW/m K
-----------------------------------------------------------------------------
-50 2,0182 1,1016 1,4578 0,9561 2,1701 5,661 0,2235 8,535
-45 2,0229 1,1151 1,4620 0,9689 1,8364 5,780 0,2201 8,799
-40 2,0281 1,1293 1,4664 0,9822 1,5864 5,899 0,2167 9,069
-35 2,0338 1,1443 1,4711 0,9962 1,3917 6,019 0,2134 9,346
-30 2,0400 1,1602 1,4760 1,0109 1,2355 6,139 0,2102 9,630
-25 2,0468 1,1769 1,4812 1,0262 1,1074 6,259 0,2070 9,920
-20 2,0540 1,1944 1,4867 1,0422 1,0004 6,379 0,2038 10,217
-15 2,0618 1,2129 1,4925 1,0589 0,9098 6,499 0,2007 10,521
-10 2,0701 1,2323 1,4986 1,0762 0,8321 6,620 0,1976 10,832
-5 2,0790 1,2526 1,5050 1,0942 0,7649 6,740 0,1946 11,151
0 2,0883 1,2737 1,5117 1,1128 0,7061 6,861 0,1917 11,476
5 2,0983 1,2958 1,5188 1,1320 0,6544 6,982 0,1888 11,809
10 2,1087 1,3187 1,5261 1,1518 0,6086 7,102 0,1859 12,149
15 2,1197 1,3425 1,5337 1,1721 0,5677 7,223 0,1831 12,496
20 2,1311 1,3670 1,5415 1,1930 0,5311 7,343 0,1803 12,850
25 2,1431 1,3924 1,5496 1,2143 0,4981 7,464 0,1775 13,212
30 2,1556 1,4186 1,5580 1,2360 0,4682 7,584 0,1748 13,582
35 2,1687 1,4456 1,5666 1,2581 0,4410 7,704 0,1722 13,958
40 2,1822 1,4733 1,5755 1,2806 0,4161 7,824 0,1695 14,342
45 2,1963 1,5017 1,5846 1,3034 0,3934 7,944 0,1669 14,734
50 2,2109 1,5309 1,5939 1,3264 0,3725 8,064 0,1644 15,134
55 2,2260 1,5608 1,6034 1,3497 0,3532 8,184 0,1618 15,541
60 2,2417 1,5914 1,6131 1,3732 0,3353 8,304 0,1593 15,956
65 2,2579 1,6228 1,6229 1,3969 0,3187 8,424 0,1568 16,380
70 2,2748 1,6550 1,6330 1,4207 0,3033 8,544 0,1544 16,812
75 2,2922 1,6879 1,6432 1,4447 0,2889 8,665 0,1520 17,253
80 2,3102 1,7217 1,6537 1,4688 0,2754 8,785 0,1496 17,703
85 2,3290 1,7565 1,6642 1,4929 0,2628 8,907 0,1472 18,163
90 2,3484 1,7922 1,6750 1,5171 0,2509 9,028 0,1449 18,632
95 2,3685 1,8290 1,6859 1,5414 0,2397 9,151 0,1425 19,113
100 2,3895 1,8669 1,6969 1,5657 0,2291 9,275 0,1402 19,605
105 2,4113 1,9063 1,7081 1,5901 0,2191 9,400 0,1380 20,110
110 2,4341 1,9471 1,7195 1,6145 0,2096 9,526 0,1357 20,628
115 2,4579 1,9896 1,7310 1,6390 0,2006 9,654 0,1334 21,162
120 2,4828 2,0340 1,7427 1,6635 0,1920 9,785 0,1312 21,712
125 2,5090 2,0807 1,7545 1,6881 0,1838 9,918 0,1290 22,281
130 2,5367 2,1300 1,7666 1,7129 0,1760 10,055 0,1268 22,871
135 2,5659 2,1823 1,7788 1,7377 0,1685 10,195 0,1246 23,485
140 2,5969 2,2381 1,7912 1,7627 0,1613 10,340 0,1224 24,126
145 2,6301 2,2981 1,8039 1,7878 0,1544 10,490 0,1202 24,800
150 2,6656 2,3631 1,8168 1,8132 0,1477 10,647 0,1180 25,511
155 2,7040 2,4341 1,8299 1,8388 0,1413 10,811 0,1158 26,266
160 2,7457 2,5123 1,8434 1,8648 0,1351 10,985 0,1137 27,073
165 2,7915 2,5994 1,8572 1,8911 0,1291 11,169 0,1115 27,942
170 2,8421 2,6975 1,8714 1,9179 0,1232 11,367 0,1093 28,886
175 2,8987 2,8095 1,8860 1,9452 0,1175 11,581 0,1071 29,923
180 2,9628 2,9393 1,9011 1,9732 0,1120 11,814 0,1049 31,072
185 3,0367 3,0922 1,9168 2,0020 0,1065 12,072 0,1027 32,362
190 3,1233 3,2760 1,9333 2,0316 0,1012 12,359 0,1005 33,829
195 3,2275 3,5024 1,9507 2,0624 0,0959 12,685 0,0983 35,521
200 3,3565 3,7893 1,9693 2,0945 0,0907 13,061 0,0960 37,507
205 3,5226 4,1665 1,9894 2,1282 0,0855 13,503 0,0938 39,881
210 3,7478 4,6867 2,0116 2,1640 0,0802 14,035 0,0915 42,786
215 4,0768 5,4535 2,0368 2,2022 0,0749 16,013 0,0893 46,553
220 4,6149 6,7035 2,0666 2,2437 0,0693 17,117 0,0872 51,181
225 5,6859 9,1288 2,1044 2,2896 0,0632 18,652 0,0855 57,694
230 8,9955 16,1053 2,1598 2,3420 0,0558 21,126 0,0853 68,837
234,95 99,9999 99,9999 2,3720 2,3720 0,0344 34,380 99,9999 99,999
Tabelle 50.3. Zustandsgrößen Volumen v, Enthalpie h, Entropie s, isochore Wärmekapazität cv, isobare Wärmekapazität cp, Schallgeschwindigkeit a, Joule- Thomson-Koeffizient μ und Fugazität f für Aceton beim Druck p = 10 kPa. Weitere Angaben siehe Tabelle 50.1.
-----------------------------------------------------------------------------t v h s cv cp a μ f/p
°C dm³/kg kJ/kg kJ/kg K kJ/kg K kJ/kg K m/s K/MPa
-----------------------------------------------------------------------------
-94,6 1,0951 -784,73 2,4059 1,4205 1,9876 1765,8 -0,4335 0,00023
-90 1,1012 -775,48 2,4571 1,4255 1,9908 1738,8 -0,4322 0,00044
-80 1,1144 -755,54 2,5631 1,4346 1,9969 1682,6 -0,4291 0,00157
-70 1,1278 -735,54 2,6640 1,4424 2,0030 1628,2 -0,4256 0,00481
-60 1,1415 -715,48 2,7604 1,4500 2,0099 1575,4 -0,4213 0,01308
-50 1,1555 -695,34 2,8528 1,4578 2,0181 1523,9 -0,4162 0,03209
-40 1,1698 -675,11 2,9415 1,4664 2,0281 1473,5 -0,4102 0,07202
-30 1,1845 -654,77 3,0269 1,4760 2,0400 1424,0 -0,4031 0,14951
-20 1,1996 -634,30 3,1094 1,4867 2,0540 1375,3 -0,3949 0,29001
-10 1,2152 -613,68 3,1892 1,4986 2,0701 1327,3 -0,3855 0,52993
0 1,2314 -592,89 3,2668 1,5117 2,0883 1279,9 -0,3748 0,91863
10 4009,8 -21,40 5,3479 1,1328 1,2908 212,58 193,067 0,98935
20 4159,4 -8,41 5,3930 1,1530 1,3079 216,23 156,816 0,99121
25 4233,7 -1,85 5,4152 1,1642 1,3177 218,01 141,856 0,99198
30 4307,7 4,77 5,4372 1,1758 1,3283 219,77 128,640 0,99266
40 4455,0 18,16 5,4807 1,2005 1,3511 223,21 106,562 0,99379
50 4601,5 31,80 5,5235 1,2265 1,3758 226,58 89,118 0,99470
60 4747,4 45,68 5,5658 1,2536 1,4018 229,87 75,219 0,99543
70 4892,8 59,84 5,6077 1,2814 1,4288 233,10 64,054 0,99602
80 5037,9 74,26 5,6491 1,3097 1,4565 236,28 55,012 0,99651
90 5182,7 88,97 5,6902 1,3384 1,4846 239,39 47,630 0,99692
100 5327,3 103,95 5,7309 1,3673 1,5130 242,47 41,558 0,99726
110 5471,6 119,23 5,7713 1,3962 1,5416 245,49 36,524 0,99755
120 5615,8 134,79 5,8114 1,4252 1,5703 248,48 32,321 0,99780
130 5759,9 150,63 5,8512 1,4540 1,5989 251,42 28,786 0,99801
140 5903,9 166,76 5,8907 1,4828 1,6274 254,33 25,793 0,99820
150 6047,7 183,18 5,9300 1,5113 1,6558 257,20 23,242 0,99836
160 6191,5 199,88 5,9690 1,5397 1,6840 260,04 21,053 0,99850
170 6335,3 216,86 6,0077 1,5677 1,7120 262,84 19,164 0,99862
180 6478,9 234,12 6,0462 1,5956 1,7397 265,62 17,524 0,99873
190 6622,6 251,65 6,0845 1,6231 1,7671 268,36 16,092 0,99883
200 6766,1 269,46 6,1225 1,6503 1,7943 271,08 14,835 0,99891
210 6909,7 287,54 6,1604 1,6772 1,8211 273,77 13,726 0,99899
220 7053,2 305,88 6,1979 1,7037 1,8476 276,43 12,743 0,99906
230 7196,7 324,49 6,2353 1,7300 1,8738 279,07 11,867 0,99913
240 7340,2 343,36 6,2724 1,7559 1,8996 281,68 11,083 0,99919
250 7483,6 362,48 6,3093 1,7814 1,9251 284,27 10,379 0,99924
260 7627,0 381,86 6,3460 1,8066 1,9503 286,84 9,744 0,99929
270 7770,4 401,48 6,3825 1,8315 1,9751 289,38 9,168 0,99933
280 7913,8 421,36 6,4187 1,8560 1,9996 291,90 8,646 0,99938
290 8057,2 441,48 6,4548 1,8802 2,0238 294,40 8,169 0,99941
300 8200,5 461,83 6,4906 1,9041 2,0476 296,88 7,733 0,99945
310 8343,9 482,43 6,5262 1,9276 2,0711 299,34 7,333 0,99948
320 8487,2 503,25 6,5616 1,9507 2,0943 301,78 6,965 0,99951
330 8630,6 524,31 6,5969 1,9736 2,1171 304,20 6,625 0,99954
Tabelle 50.4. Zustandsgrößen Volumen v, Enthalpie h, Entropie s, isochore Wärmekapazität cv, isobare Wärmekapazität cp, Schallgeschwindigkeit a, Joule- Thomson-Koeffizient μ und Fugazität f für Aceton beim Druck p = 100 kPa. Weitere Angaben siehe Tabelle 50.1.
-----------------------------------------------------------------------------t v h s cv cp a μ f/p
°C dm³/kg kJ/kg kJ/kg K kJ/kg K kJ/kg K m/s K/MPa
-----------------------------------------------------------------------------
-94,6 1,0950 -784,65 2,4058 1,4205 1,9876 1766,2 -0,4335 0,00002
-90 1,1011 -775,40 2,4570 1,4255 1,9907 1739,2 -0,4322 0,00004
-80 1,1144 -755,46 2,5630 1,4346 1,9968 1683,0 -0,4291 0,00016
-70 1,1278 -735,47 2,6639 1,4425 2,0029 1628,6 -0,4256 0,00048
-60 1,1415 -715,40 2,7603 1,4500 2,0098 1575,8 -0,4214 0,00131
-50 1,1554 -695,27 2,8526 1,4579 2,0181 1524,3 -0,4163 0,00322
-40 1,1698 -675,04 2,9413 1,4664 2,0280 1473,9 -0,4103 0,00722
-30 1,1844 -654,70 3,0267 1,4760 2,0399 1424,5 -0,4032 0,01500
-20 1,1995 -634,23 3,1092 1,4867 2,0539 1375,8 -0,3950 0,02909
-10 1,2151 -613,61 3,1891 1,4986 2,0700 1327,8 -0,3856 0,05315
0 1,2313 -592,82 3,2666 1,5118 2,0882 1280,5 -0,3749 0,09212
10 1,2480 -571,84 3,3421 1,5261 2,1085 1233,6 -0,3629 0,15239
20 1,2654 -550,65 3,4156 1,5415 2,1310 1187,2 -0,3494 0,24181
25 1,2744 -539,96 3,4518 1,5496 2,1430 1164,2 -0,3420 0,30030
30 1,2836 -529,22 3,4875 1,5580 2,1555 1141,2 -0,3343 0,36967
40 1,3026 -507,53 3,5579 1,5755 2,1821 1095,5 -0,3174 0,54657
50 1,3225 -485,57 3,6269 1,5939 2,2108 1049,9 -0,2986 0,78415
60 453,92 35,64 5,2121 1,3539 1,5594 222,75 75,844 0,95416
70 470,83 51,20 5,2582 1,3612 1,5545 226,79 64,740 0,96018
80 487,27 66,76 5,3028 1,3739 1,5581 230,63 55,676 0,96512
90 503,36 82,39 5,3465 1,3904 1,5678 234,30 48,237 0,96922
100 519,18 98,13 5,3892 1,4098 1,5818 237,85 42,093 0,97265
110 534,78 114,04 5,4313 1,4313 1,5991 241,28 36,988 0,97555
120 550,20 130,12 5,4727 1,4543 1,6186 244,61 32,718 0,97803
130 565,47 146,41 5,5137 1,4784 1,6400 247,86 29,125 0,98015
140 580,63 162,93 5,5541 1,5033 1,6626 251,04 26,080 0,98199
150 595,68 179,67 5,5942 1,5287 1,6861 254,15 23,485 0,98359
160 610,66 196,65 5,6338 1,5544 1,7103 257,20 21,259 0,98499
170 625,56 213,88 5,6731 1,5804 1,7349 260,20 19,339 0,98622
180 640,41 231,35 5,7121 1,6064 1,7598 263,15 17,672 0,98732
190 655,20 249,07 5,7508 1,6325 1,7849 266,05 16,218 0,98830
200 669,95 267,05 5,7892 1,6585 1,8100 268,91 14,942 0,98917
210 684,66 285,27 5,8273 1,6843 1,8352 271,73 13,817 0,98996
220 699,34 303,75 5,8652 1,7100 1,8602 274,52 12,820 0,99066
230 713,99 322,48 5,9028 1,7355 1,8851 277,26 11,932 0,99131
240 728,62 341,45 5,9401 1,7607 1,9099 279,98 11,139 0,99189
250 743,22 360,67 5,9772 1,7857 1,9345 282,66 10,426 0,99242
260 757,81 380,14 6,0141 1,8105 1,9588 285,31 9,784 0,99291
270 772,37 399,85 6,0507 1,8349 1,9829 287,94 9,203 0,99335
280 786,92 419,80 6,0871 1,8591 2,0068 290,53 8,675 0,99376
290 801,45 439,98 6,1233 1,8830 2,0304 293,11 8,193 0,99414
300 815,97 460,40 6,1592 1,9066 2,0537 295,65 7,754 0,99449
310 830,48 481,06 6,1949 1,9298 2,0768 298,17 7,350 0,99481
320 844,98 501,94 6,2304 1,9528 2,0995 300,67 6,979 0,99511
330 859,47 523,05 6,2657 1,9755 2,1220 303,14 6,637 0,99539
Tabelle 50.5. Zustandsgrößen Volumen v, Enthalpie h, Entropie s, isochore Wärmekapazität cv, isobare Wärmekapazität cp, Schallgeschwindigkeit a, Joule- Thomson-Koeffizient μ und Fugazität f für Aceton beim Druck p = 1 MPa. Weitere Angaben siehe Tabelle 50.1.
-----------------------------------------------------------------------------t v h s cv cp a μ f/p
°C dm³/kg kJ/kg kJ/kg K kJ/kg K kJ/kg K m/s K/MPa
-----------------------------------------------------------------------------
-94,6 1,0945 -783,88 2,4046 1,4207 1,9874 1770,1 -0,4337 0,00000
-90 1,1006 -774,63 2,4558 1,4257 1,9905 1743,2 -0,4324 0,00000
-80 1,1138 -754,69 2,5618 1,4348 1,9965 1687,1 -0,4294 0,00002
-70 1,1272 -734,70 2,6627 1,4427 2,0025 1632,8 -0,4259 0,00005
-60 1,1408 -714,64 2,7591 1,4502 2,0093 1580,2 -0,4218 0,00014
-50 1,1547 -694,51 2,8514 1,4580 2,0174 1528,8 -0,4168 0,00033
-40 1,1690 -674,29 2,9400 1,4666 2,0273 1478,6 -0,4109 0,00075
-30 1,1836 -653,96 3,0254 1,4762 2,0390 1429,3 -0,4039 0,00155
-20 1,1986 -633,50 3,1079 1,4868 2,0528 1380,9 -0,3958 0,00300
-10 1,2141 -612,89 3,1877 1,4987 2,0687 1333,1 -0,3866 0,00547
0 1,2301 -592,12 3,2652 1,5119 2,0867 1286,0 -0,3761 0,00948
10 1,2467 -571,15 3,3405 1,5262 2,1068 1239,4 -0,3643 0,01567
20 1,2640 -549,97 3,4140 1,5416 2,1290 1193,3 -0,3511 0,02485
25 1,2729 -539,30 3,4502 1,5497 2,1408 1170,4 -0,3439 0,03085
30 1,2820 -528,57 3,4859 1,5580 2,1532 1147,6 -0,3363 0,03796
40 1,3008 -506,90 3,5562 1,5755 2,1794 1102,2 -0,3199 0,05610
50 1,3206 -484,97 3,6251 1,5938 2,2077 1057,1 -0,3015 0,08046
60 1,3414 -462,74 3,6928 1,6129 2,2381 1012,1 -0,2810 0,11229
70 1,3634 -440,20 3,7595 1,6328 2,2707 967,1 -0,2579 0,15290
80 1,3868 -417,32 3,8252 1,6533 2,3058 922,2 -0,2317 0,20359
90 1,4118 -394,08 3,8901 1,6746 2,3435 877,1 -0,2020 0,26560
100 1,4386 -370,44 3,9543 1,6964 2,3843 831,7 -0,1676 0,34006
110 1,468 -346,38 4,0180 1,7190 2,4288 785,93 -0,128 0,42798
120 1,499 -321,85 4,0812 1,7422 2,4778 739,52 -0,080 0,53016
130 1,534 -296,80 4,1441 1,7662 2,5328 692,26 -0,023 0,64719
140 1,573 -271,17 4,2069 1,7911 2,5956 643,80 0,047 0,77939
150 48,836 136,65 5,1859 1,7604 2,2017 217,14 27,182 0,83756
160 51,300 158,25 5,2363 1,7437 2,1243 223,89 24,188 0,85185
170 53,594 179,22 5,2842 1,7371 2,0751 229,93 21,692 0,86432
180 55,761 199,81 5,3301 1,7376 2,0445 235,45 19,584 0,87529
190 57,830 220,16 5,3746 1,7433 2,0265 240,57 17,783 0,88500
200 59,820 240,37 5,4177 1,7528 2,0175 245,36 16,231 0,89366
210 61,747 260,53 5,4599 1,7653 2,0152 249,87 14,884 0,90142
220 63,621 280,69 5,5012 1,7800 2,0178 254,16 13,707 0,90841
230 65,451 300,90 5,5418 1,7963 2,0242 258,26 12,672 0,91472
240 67,244 321,18 5,5817 1,8139 2,0335 262,19 11,756 0,92045
250 69,006 341,58 5,6210 1,8325 2,0450 265,98 10,942 0,92567
260 70,739 362,09 5,6599 1,8517 2,0582 269,64 10,215 0,93044
270 72,449 382,74 5,6983 1,8715 2,0728 273,18 9,563 0,93482
280 74,138 403,55 5,7362 1,8917 2,0884 276,63 8,975 0,93884
290 75,808 424,51 5,7738 1,9122 2,1049 279,98 8,444 0,94254
300 77,462 445,65 5,8110 1,9328 2,1219 283,24 7,961 0,94596
310 79,101 466,96 5,8478 1,9535 2,1395 286,43 7,521 0,94912
320 80,727 488,44 5,8844 1,9742 2,1574 289,55 7,119 0,95206
330 82,341 510,10 5,9206 1,9949 2,1756 292,61 6,750 0,95478
Tabelle 50.6. Zustandsgrößen Volumen v, Enthalpie h, Entropie s, isochore Wärmekapazität cv, isobare Wärmekapazität cp, Schallgeschwindigkeit a, Joule- Thomson-Koeffizient μ und Fugazität f für Aceton beim kritischen Druck pc = 4,6924 MPa. Weitere Angaben siehe Tabelle 50.1.
-----------------------------------------------------------------------------t v h s cv cp a μ f/p
°C dm³/kg kJ/kg kJ/kg K kJ/kg K kJ/kg K m/s K/MPa
-----------------------------------------------------------------------------
-94,6 1,0926 -780,69 2,3999 1,4215 1,9865 1785,9 -0,4344 0,00000
-90 1,0986 -771,45 2,4510 1,4266 1,9895 1759,2 -0,4332 0,00000
-80 1,1116 -751,53 2,5569 1,4357 1,9951 1703,5 -0,4304 0,00000
-70 1,1248 -731,55 2,6578 1,4435 2,0008 1649,8 -0,4272 0,00001
-60 1,1382 -711,51 2,7540 1,4511 2,0072 1597,7 -0,4233 0,00003
-50 1,1519 -691,40 2,8462 1,4589 2,0148 1546,9 -0,4187 0,00008
-40 1,1658 -671,21 2,9348 1,4674 2,0242 1497,3 -0,4132 0,00018
-30 1,1801 -650,91 3,0200 1,4769 2,0354 1448,8 -0,4067 0,00037
-20 1,1948 -630,49 3,1023 1,4875 2,0486 1401,1 -0,3991 0,00072
-10 1,2100 -609,93 3,1819 1,4994 2,0639 1354,2 -0,3905 0,00131
0 1,2256 -589,21 3,2592 1,5124 2,0811 1308,1 -0,3808 0,00227
10 1,2417 -568,30 3,3344 1,5266 2,1003 1262,5 -0,3698 0,00374
20 1,2584 -547,19 3,4076 1,5419 2,1214 1217,5 -0,3576 0,00592
25 1,2670 -536,56 3,4436 1,5499 2,1327 1195,2 -0,3510 0,00734
30 1,2758 -525,87 3,4792 1,5582 2,1445 1173,0 -0,3441 0,00902
40 1,2939 -504,30 3,5492 1,5755 2,1693 1129,0 -0,3291 0,01330
50 1,3129 -482,47 3,6178 1,5936 2,1960 1085,3 -0,3125 0,01905
60 1,3327 -460,37 3,6851 1,6125 2,2245 1042,0 -0,2942 0,02654
70 1,3536 -437,98 3,7514 1,6320 2,2548 998,9 -0,2738 0,03609
80 1,3757 -415,27 3,8166 1,6522 2,2870 956,0 -0,2511 0,04799
90 1,3991 -392,23 3,8809 1,6730 2,3212 913,3 -0,2256 0,06254
100 1,4240 -368,84 3,9445 1,6943 2,3576 870,6 -0,1969 0,08001
110 1,4506 -345,07 4,0073 1,7162 2,3965 827,8 -0,1642 0,10062
120 1,4793 -320,90 4,0696 1,7385 2,4383 785,0 -0,1266 0,12458
130 1,5103 -296,30 4,1314 1,7614 2,4834 741,9 -0,0830 0,15203
140 1,5441 -271,22 4,1928 1,7848 2,5328 698,5 -0,0317 0,18306
150 1,5814 -245,62 4,2540 1,8088 2,5874 654,7 0,0297 0,21771
160 1,6228 -219,45 4,3152 1,8336 2,6489 610,1 0,1047 0,25594
170 1,6696 -192,61 4,3764 1,8593 2,7200 564,6 0,1983 0,29765
180 1,7232 -165,00 4,4380 1,8862 2,8048 517,8 0,3192 0,34264
190 1,7862 -136,44 4,5004 1,9149 2,9110 469,1 0,4819 0,39065
200 1,8627 -106,66 4,5640 1,9463 3,0536 417,5 0,7146 0,44131
210 1,9609 -75,14 4,6299 1,9823 3,2692 361,3 1,0812 0,49412
220 2,1003 -40,67 4,7005 2,0281 3,6774 296,4 1,7689 0,54835
230 2,3634 1,34 4,7848 2,1062 5,1736 208,9 3,8012 0,60280
240 6,8709 169,71 5,1160 2,2588 6,7713 154,6 16,2817 0,64537
250 8,4985 219,98 5,2131 2,1618 4,0861 177,3 14,0997 0,67216
260 9,5983 256,83 5,2829 2,1144 3,3865 192,5 12,5131 0,69500
270 10,493 288,86 5,3424 2,0882 3,0532 204,44 11,278 0,71519
280 11,271 318,35 5,3962 2,0743 2,8594 214,54 10,273 0,73335
290 11,972 346,28 5,4463 2,0684 2,7352 223,37 9,431 0,74984
300 12,617 373,18 5,4936 2,0680 2,6512 231,28 8,711 0,76492
310 13,221 399,39 5,5390 2,0717 2,5928 238,48 8,087 0,77879
320 13,792 425,10 5,5827 2,0784 2,5515 245,11 7,539 0,79159
330 14,337 450,46 5,6251 2,0873 2,5224 251,28 7,053 0,80344
Tabelle 50.7. Zustandsgrößen Volumen v, Enthalpie h, Entropie s, isochore Wärmekapazität cv, isobare Wärmekapazität cp, Schallgeschwindigkeit a, Joule- Thomson-Koeffizient μ und Fugazität f für Aceton beim Druck p = 10 MPa. Weitere Angaben siehe Tabelle 50.1.
-----------------------------------------------------------------------------t v h s cv cp a μ f/p
°C dm³/kg kJ/kg kJ/kg K kJ/kg K kJ/kg K m/s K/MPa
-----------------------------------------------------------------------------
-94,6 1,0899 -776,11 2,3931 1,4229 1,9854 1808,1 -0,4353 0,00000
-90 1,0957 -766,87 2,4442 1,4279 1,9882 1781,6 -0,4342 0,00000
-80 1,1085 -746,96 2,5500 1,4371 1,9934 1726,5 -0,4317 0,00000
-70 1,1214 -727,00 2,6508 1,4449 1,9985 1673,4 -0,4289 0,00001
-60 1,1345 -706,99 2,7469 1,4524 2,0044 1622,0 -0,4254 0,00002
-50 1,1479 -686,91 2,8390 1,4602 2,0115 1572,0 -0,4212 0,00005
-40 1,1615 -666,75 2,9274 1,4687 2,0202 1523,3 -0,4162 0,00010
-30 1,1754 -646,50 3,0124 1,4782 2,0308 1475,7 -0,4103 0,00021
-20 1,1897 -626,13 3,0945 1,4887 2,0432 1429,0 -0,4034 0,00040
-10 1,2043 -605,63 3,1739 1,5005 2,0576 1383,3 -0,3956 0,00073
0 1,2193 -584,97 3,2510 1,5134 2,0739 1338,3 -0,3867 0,00126
10 1,2349 -564,15 3,3259 1,5275 2,0920 1294,0 -0,3769 0,00206
20 1,2509 -543,13 3,3988 1,5427 2,1119 1250,4 -0,3659 0,00325
25 1,2591 -532,54 3,4346 1,5506 2,1225 1228,9 -0,3600 0,00403
30 1,2675 -521,90 3,4700 1,5588 2,1335 1207,4 -0,3538 0,00494
40 1,2847 -500,45 3,5396 1,5759 2,1568 1165,1 -0,3406 0,00727
50 1,3027 -478,76 3,6078 1,5938 2,1816 1123,2 -0,3260 0,01038
60 1,3214 -456,82 3,6747 1,6124 2,2079 1081,8 -0,3101 0,01444
70 1,3409 -434,60 3,7404 1,6317 2,2357 1040,9 -0,2927 0,01959
80 1,3614 -412,10 3,8050 1,6516 2,2649 1000,4 -0,2736 0,02600
90 1,3829 -389,30 3,8687 1,6719 2,2955 960,2 -0,2526 0,03383
100 1,4057 -366,18 3,9315 1,6927 2,3277 920,4 -0,2294 0,04321
110 1,4297 -342,74 3,9935 1,7139 2,3613 881,0 -0,2037 0,05427
120 1,4553 -318,95 4,0548 1,7354 2,3967 841,7 -0,1750 0,06713
130 1,4825 -294,80 4,1154 1,7573 2,4338 802,8 -0,1428 0,08186
140 1,5116 -270,27 4,1755 1,7795 2,4729 764,0 -0,1065 0,09852
150 1,5430 -245,33 4,2351 1,8020 2,5143 725,5 -0,0651 0,11714
160 1,5770 -219,97 4,2944 1,8249 2,5583 687,1 -0,0177 0,13771
170 1,6139 -194,16 4,3533 1,8480 2,6055 648,9 0,0373 0,16021
180 1,6544 -167,85 4,4120 1,8716 2,6563 610,8 0,1017 0,18457
190 1,6991 -141,01 4,4706 1,8955 2,7118 572,8 0,1780 0,21068
200 1,7489 -113,59 4,5291 1,9200 2,7731 534,8 0,2697 0,23844
210 1,8051 -85,53 4,5878 1,9450 2,8417 497,0 0,3816 0,26766
220 1,8692 -56,73 4,6468 1,9708 2,9201 459,3 0,5207 0,29817
230 1,9435 -27,08 4,7064 1,9975 3,0117 421,6 0,6971 0,32973
240 2,0312 3,57 4,7667 2,0253 3,1213 384,2 0,9262 0,36209
250 2,1373 35,43 4,8282 2,0547 3,2562 347,1 1,2311 0,39494
260 2,2692 68,81 4,8914 2,0859 3,4264 310,9 1,6460 0,42794
270 2,4388 104,11 4,9569 2,1190 3,6424 276,6 2,2169 0,46068
280 2,6632 141,81 5,0257 2,1527 3,9039 246,4 2,9871 0,49268
290 2,9634 182,19 5,0981 2,1835 4,1624 223,1 3,9387 0,52341
300 3,3492 224,58 5,1727 2,2049 4,2777 209,6 4,8872 0,55234
310 3,7942 266,87 5,2458 2,2136 4,1407 206,1 5,5291 0,57912
320 4,2492 306,93 5,3139 2,2139 3,8628 209,3 5,7650 0,60370
330 4,6826 344,16 5,3762 2,2117 3,5920 215,6 5,7273 0,62630
Tabelle 50.8. Zustandsgrößen Volumen v, Enthalpie h, Entropie s, isochore Wärmekapazität cv, isobare Wärmekapazität cp, Schallgeschwindigkeit a, Joule- Thomson-Koeffizient μ und Fugazität f für Aceton beim Druck p = 30 MPa. Weitere Angaben siehe Tabelle 50.1.
-----------------------------------------------------------------------------t v h s cv cp a μ f/p
°C dm³/kg kJ/kg kJ/kg K kJ/kg K kJ/kg K m/s K/MPa
-----------------------------------------------------------------------------
-94,6 1,0803 -758,77 2,3686 1,4293 1,9828 1885,5 -0,4379 0,00000
-90 1,0858 -749,56 2,4196 1,4343 1,9849 1859,8 -0,4372 0,00000
-80 1,0977 -729,69 2,5252 1,4435 1,9886 1806,4 -0,4356 0,00000
-70 1,1098 -709,79 2,6257 1,4514 1,9923 1755,3 -0,4338 0,00001
-60 1,1219 -689,84 2,7215 1,4589 1,9965 1706,2 -0,4315 0,00001
-50 1,1342 -669,85 2,8132 1,4666 2,0019 1658,6 -0,4286 0,00003
-40 1,1467 -649,80 2,9011 1,4750 2,0088 1612,5 -0,4251 0,00007
-30 1,1593 -629,67 2,9856 1,4843 2,0174 1567,6 -0,4208 0,00014
-20 1,1722 -609,44 3,0671 1,4948 2,0277 1523,9 -0,4158 0,00026
-10 1,1853 -589,11 3,1459 1,5064 2,0397 1481,3 -0,4101 0,00046
0 1,1987 -568,64 3,2223 1,5191 2,0535 1439,7 -0,4037 0,00078
10 1,2124 -548,03 3,2964 1,5330 2,0688 1399,0 -0,3965 0,00126
20 1,2264 -527,26 3,3684 1,5479 2,0857 1359,2 -0,3886 0,00196
25 1,2336 -516,81 3,4038 1,5557 2,0946 1339,6 -0,3845 0,00241
30 1,2408 -506,32 3,4387 1,5638 2,1039 1320,3 -0,3801 0,00294
40 1,2555 -485,18 3,5073 1,5805 2,1234 1282,2 -0,3709 0,00427
50 1,2707 -463,84 3,5744 1,5980 2,1440 1244,9 -0,3610 0,00604
60 1,2863 -442,30 3,6400 1,6162 2,1656 1208,4 -0,3505 0,00831
70 1,3024 -420,53 3,7044 1,6349 2,1882 1172,6 -0,3393 0,01118
80 1,3189 -398,53 3,7676 1,6542 2,2115 1137,6 -0,3275 0,01472
90 1,3361 -376,30 3,8297 1,6738 2,2355 1103,3 -0,3149 0,01901
100 1,3538 -353,82 3,8907 1,6938 2,2602 1069,8 -0,3017 0,02413
110 1,3721 -331,09 3,9508 1,7141 2,2853 1037,0 -0,2876 0,03013
120 1,3911 -308,11 4,0101 1,7346 2,3109 1004,8 -0,2728 0,03707
130 1,4108 -284,87 4,0684 1,7553 2,3368 973,4 -0,2572 0,04500
140 1,4313 -261,37 4,1260 1,7760 2,3631 942,8 -0,2407 0,05394
150 1,4526 -237,61 4,1828 1,7969 2,3895 912,8 -0,2233 0,06392
160 1,4747 -213,58 4,2389 1,8178 2,4162 883,6 -0,2049 0,07495
170 1,4978 -189,29 4,2944 1,8387 2,4430 855,1 -0,1854 0,08701
180 1,5219 -164,72 4,3492 1,8596 2,4698 827,3 -0,1648 0,10010
190 1,5470 -139,89 4,4034 1,8804 2,4966 800,4 -0,1431 0,11419
200 1,5733 -114,79 4,4570 1,9012 2,5234 774,2 -0,1201 0,12923
210 1,6008 -89,42 4,5101 1,9219 2,5500 748,9 -0,0958 0,14518
220 1,6295 -63,79 4,5626 1,9425 2,5765 724,4 -0,0702 0,16198
230 1,6595 -37,89 4,6146 1,9630 2,6027 700,7 -0,0431 0,17958
240 1,6910 -11,74 4,6661 1,9833 2,6286 677,9 -0,0146 0,19789
250 1,7240 14,68 4,7170 2,0034 2,6541 656,1 0,0154 0,21686
260 1,7585 41,34 4,7675 2,0234 2,6792 635,1 0,0469 0,23639
270 1,7947 68,26 4,8175 2,0431 2,7038 615,0 0,0799 0,25641
280 1,8326 95,42 4,8671 2,0626 2,7277 595,9 0,1145 0,27685
290 1,8722 122,81 4,9162 2,0819 2,7510 577,8 0,1505 0,29761
300 1,9138 150,43 4,9648 2,1010 2,7735 560,6 0,1880 0,31862
310 1,9572 178,28 5,0130 2,1197 2,7952 544,3 0,2269 0,33980
320 2,0027 206,34 5,0607 2,1382 2,8160 529,1 0,2670 0,36107
330 2,0501 234,60 5,1079 2,1563 2,8359 514,7 0,3083 0,38237
Abb. 50.1. Spezifische isobare Wärmekapazität cp von Aceton als Funktion des Druckes p und der Temperatur t.
Abb. 50.2. Spezifische isochore Wärmekapazität cv von Aceton als Funktion des Druckes p und der Temperatur t.
Abb. 50.3. Schallgeschwindigkeit a von Aceton als Funktion des Druckes p und der Temperatur t.
Abb. 50.4. Joule-Thomson-Koeffizient μ von Aceton als Funktion des Druckes p und der Temperatur t.
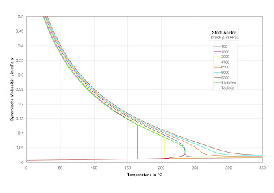
Abb. 50.5. Dynamische Viskosität η von Aceton als Funktion des Druckes p und der Temperatur t.
Abb. 50.6. Wärmeleitfähigkeit λ von Aceton als Funktion des Druckes p und der Temperatur t.
Abb. 50.7. Druck/Enthalpie-Diagramm für Aceton. Der Referenzzustand ist t = 0°C bei siedender Flüssigkeit mit h = 200 kJ/kg und s = 1 kJ/kg K nach IIR. Die Einheit des spezifischen Volumens v ist m³/kg.







Keine Kommentare:
Kommentar veröffentlichen