Samstag, 12. Juni 2010

Zustandsgrößen für Kohlendioxid (CO2, R744)

Tabelle 11.1. Dampftafel für das Nassdampfgebiet von Kohlendioxid (CO2). Der Nullpunkt der spezifischen Enthalpie h liegt im gasförmigen Standardzustand (t0 = 25°C, p0 = 100 kPa) des idealen Gases, die spezifische Entropie s ist die konventionelle (absolute) Entropie basierend auf der Standardentropie S0 = 213,786 J/mol K. Um die kalorischen Werte nach IIR-Standard zu erhalten, muss zu den Enthalpiewerten Δh = 506,78 kJ/kg addiert und von den Entropiewerten Δs = 2,11618 kJ/kg K subtrahiert werden. Berechnet mit der Zustandsgleichung von R. Span und W. Wagner (J. Phys. Chem. Ref. Data, 25, 1509 - 1596 (1996)).
-----------------------------------------------------------------------------
  t         p       v'       v"       h'       h"      Δh       s'      s"
  °C       kPa    dm³/kg   dm³/kg   kJ/kg    kJ/kg    kJ/kg   kJ/kg K kJ/kg K
-----------------------------------------------------------------------------

-56,558   517,96  0,8486   72,670  -426,74  -76,364  350,38   2,6375   4,2552
-55,0     553,97  0,8526   68,151  -423,69  -75,793  347,90   2,6514   4,2462
-52,5     615,64  0,8593   61,593  -418,77  -74,921  343,85   2,6736   4,2319
-50,0     682,34  0,8661   55,789  -413,84  -74,104  339,73   2,6956   4,2180
-47,5     754,32  0,8732   50,635  -408,88  -73,347  335,54   2,7174   4,2043

-45,0     831,84  0,8805   46,046  -403,91  -72,652  331,25   2,7390   4,1909
-42,5     915,14  0,8880   41,950  -398,91  -72,021  326,88   2,7605   4,1777
-40,0    1004,50  0,8957   38,284  -393,88  -71,458  322,42   2,7818   4,1647
-37,5    1100,17  0,9037   34,994  -388,82  -70,966  317,85   2,8030   4,1519
-35,0    1202,42  0,9120   32,035  -383,73  -70,550  313,18   2,8241   4,1392

-32,5    1311,53  0,9207   29,367  -378,61  -70,213  308,39   2,8451   4,1266
-30,0    1427,76  0,9296   26,956  -373,44  -69,960  303,48   2,8660   4,1141
-27,5    1551,40  0,9389   24,772  -368,24  -69,795  298,44   2,8868   4,1017
-25,0    1682,74  0,9486   22,789  -362,99  -69,725  293,26   2,9076   4,0894
-22,5    1822,05  0,9587   20,986  -357,69  -69,754  287,93   2,9283   4,0771

-20,0    1969,63  0,9693   19,343  -352,33  -69,889  282,44   2,9490   4,0647
-17,5    2125,77  0,9804   17,841  -346,92  -70,137  276,78   2,9697   4,0523
-15,0    2290,79  0,9921   16,467  -341,44  -70,506  270,93   2,9904   4,0399
-12,5    2464,98  1,0044   15,206  -335,89  -71,005  264,88   3,0111   4,0274
-10,0    2648,68  1,0174   14,048  -330,26  -71,644  258,61   3,0319   4,0147

 -7,5    2842,19  1,0311   12,981  -324,54  -72,437  252,11   3,0528   4,0018
 -5,0    3045,88  1,0458   11,996  -318,73  -73,396  245,34   3,0737   3,9887
 -2,5    3260,07  1,0614   11,085  -312,82  -74,539  238,28   3,0949   3,9753
  0,0    3485,14  1,0782   10,241  -306,78  -75,887  230,89   3,1162   3,9615
  2,5    3721,47  1,0964    9,456  -300,61  -77,462  223,14   3,1377   3,9473

  5,0    3969,47  1,1160    8,724  -294,28  -79,295  214,98   3,1596   3,9325
  7,5    4229,55  1,1375    8,040  -287,77  -81,424  206,35   3,1818   3,9171
 10,0    4502,18  1,1613    7,399  -281,05  -83,896  197,15   3,2046   3,9009
 12,5    4787,87  1,1878    6,794  -274,08  -86,774  187,30   3,2279   3,8836
 15,0    5087,15  1,2177    6,222  -266,79  -90,144  176,65   3,2521   3,8651

 17,5    5400,64  1,2522    5,675  -259,11  -94,129  164,98   3,2773   3,8449
 20,0    5729,05  1,2930    5,149  -250,91  -98,915  152,00   3,3039   3,8224
 22,5    6073,23  1,3429    4,635  -242,00 -104,802  137,20   3,3326   3,7967
 25,0    6434,24  1,4075    4,120  -232,00 -112,351  119,64   3,3647   3,7660
 27,5    6813,57  1,5009    3,576  -219,99 -122,855   97,13   3,4029   3,7260

 30,0    7213,69  1,6855    2,898  -202,23 -141,651   60,58   3,4596   3,6595
 30,978  7377,30  2,1386    2,139  -174,53 -174,534    0,00   3,5498   3,5498



Tabelle 11.2. Tabelliert sind für Kohlendioxid die Sättigungsgrößen isobare Wärmekapazität cp' und cp", isochore Wärmekapazität cv' und cv", dynamische Viskosität η' und η" sowie die Wärmeleitfähigkeit λ' und λ" als Funktion der Temperatur t. Dampfdruck p nach Tabelle 11.1.
-----------------------------------------------------------------------------
   t        cp'     cp"      cv'      cv"       η'      η"      λ'       λ"
  °C       J/g K   J/g K    J/g K    J/g K    mPa s   μPa s   W/m K    mW/m K
-----------------------------------------------------------------------------
 -56,56   1,9532  0,9087   0,9747   0,6292   0,2567  10,951   0,1831   10,719
 -55,0    1,9569  0,9184   0,9724   0,6336   0,2499  11,035   0,1809   10,850
 -52,5    1,9636  0,9347   0,9689   0,6408   0,2393  11,170   0,1773   11,063
 -50,0    1,9712  0,9519   0,9655   0,6483   0,2293  11,307   0,1739   11,281
 -47,5    1,9797  0,9703   0,9622   0,6560   0,2198  11,445   0,1704   11,505

 -45,0    1,9892  0,9900   0,9590   0,6640   0,2107  11,585   0,1670   11,735
 -42,5    1,9998  1,0109   0,9559   0,6722   0,2020  11,726   0,1636   11,972
 -40,0    2,0117  1,0333   0,9529   0,6807   0,1938  11,869   0,1603   12,218
 -37,5    2,0248  1,0573   0,9500   0,6894   0,1859  12,014   0,1570   12,472
 -35,0    2,0393  1,0830   0,9473   0,6985   0,1783  12,161   0,1537   12,738

 -32,5    2,0553  1,1107   0,9447   0,7078   0,1711  12,311   0,1505   13,016
 -30,0    2,0731  1,1406   0,9422   0,7174   0,1642  12,464   0,1473   13,310
 -27,5    2,0927  1,1730   0,9400   0,7275   0,1576  12,620   0,1441   13,623
 -25,0    2,1145  1,2083   0,9379   0,7379   0,1513  12,781   0,1409   13,960
 -22,5    2,1386  1,2469   0,9360   0,7488   0,1452  12,945   0,1378   14,326

 -20,0    2,1653  1,2893   0,9344   0,7602   0,1393  13,115   0,1347   14,717
 -17,5    2,1951  1,3360   0,9331   0,7722   0,1337  13,291   0,1316   15,105
 -15,0    2,2283  1,3877   0,9324   0,7847   0,1283  13,474   0,1285   15,528
 -12,5    2,2654  1,4450   0,9323   0,7977   0,1231  13,664   0,1254   15,989
 -10,0    2,3072  1,5091   0,9330   0,8113   0,1180  13,863   0,1224   16,493

  -7,5    2,3545  1,5811   0,9346   0,8255   0,1131  14,073   0,1193   17,049
  -5,0    2,4085  1,6628   0,9371   0,8403   0,1084  14,295   0,1162   17,666
  -2,5    2,4704  1,7563   0,9406   0,8558   0,1038  14,532   0,1132   18,355
   0,0    2,5423  1,8648   0,9449   0,8722   0,0994  14,786   0,1102   19,130
   2,5    2,6266  1,9921   0,9500   0,8896   0,0951  15,061   0,1071   20,010

   5,0    2,7268  2,1440   0,9558   0,9084   0,0908  15,361   0,1041   21,017
   7,5    2,8480  2,3286   0,9622   0,9286   0,0867  15,691   0,1010   22,180
  10,0    2,9976  2,5578   0,9691   0,9507   0,0826  16,059   0,0980   23,542
  12,5    3,1874  2,8504   0,9769   0,9753   0,0785  16,474   0,0949   25,158
  15,0    3,4360  3,2371   0,9859   1,0029   0,0744  16,952   0,0919   27,114

  17,5    3,7750  3,7720   0,9968   1,0348   0,0703  17,512   0,0889   29,542
  20,0    4,2637  4,5599   1,0114   1,0725   0,0661  18,187   0,0860   32,671
  22,5    5,0352  5,8314   1,0331   1,1194   0,0618  19,033   0,0834   36,945
  25,0    6,4674  8,2123   1,0704   1,1819   0,0570  20,157   0,0814   43,394
  27,5    10,069  14,210   1,1460   1,2782   0,0516  21,819   0,0813   55,288

  30,0    35,338  55,822   1,4063   1,5228   0,0438  25,170   0,0931   97,495
  30,9    689,70  957,64   2,2255   2,2378   0,0372  29,432   0,1577   267,60


Tabelle 11.3. Zustandsgrößen Volumen v, Enthalpie h, Entropie s, isochore Wärmekapazität cv, isobare Wärmekapazität cp, Schallgeschwindigkeit a, Joule- Thomson-Koeffizient μ und Fugazität f für Kohlendioxid (CO2) beim Druck p = 10 kPa. Der Isentropenexponent κ berechnet sich mit der Schallgeschwindigkeit a aus κ = a2/p/v. Weitere Angaben siehe Tabelle 11.1.
-----------------------------------------------------------------------------
   t       v        h       s       
cv       cp       a        μ       f/p 
  °C    dm³/kg    kJ/kg  kJ/kg K   kJ/kg K  kJ/kg K   m/s     K/MPa         
-----------------------------------------------------------------------------

 -56,6  4086,1  -65,404   5,0373   0,5660   0,7562   233,48   26,096  0,99857
 -50    4210,4  -60,421   5,0600   0,5733   0,7633   236,63   23,930  0,99871
 -40    4399,8  -52,733   5,0937   0,5844   0,7743   241,31   21,116  0,99889
 -30    4589,2  -44,934   5,1264   0,5956   0,7854   245,88   18,777  0,99903
 -20    4778,5  -37,026   5,1583   0,6067   0,7964   250,34   16,811  0,99915

 -10    4967,8  -29,007   5,1894   0,6178   0,8073   254,70   15,143  0,99925
   0    5157,0  -20,879   5,2197   0,6287   0,8182   258,98   13,715  0,99934
  10    5346,2  -12,644   5,2493   0,6394   0,8289   263,17   12,483  0,99941
  20    5535,4   -4,302   5,2782   0,6500   0,8394   267,29   11,412  0,99948
  25    5630,0   -0,092   5,2925   0,6552   0,8446   269,32   10,928  0,99950

  30    5724,5    4,144   5,3066   0,6604   0,8497   271,33   10,475  0,99953
  40    5913,7   12,692   5,3343   0,6706   0,8599   275,31    9,651  0,99958
  50    6102,8   21,341   5,3615   0,6806   0,8698   279,23    8,921  0,99962
  60    6291,8   30,088   5,3881   0,6903   0,8796   283,09    8,272  0,99966
  70    6480,9   38,931   5,4143   0,6999   0,8891   286,89    7,692  0,99969

  80    6670,0   47,869   5,4400   0,7092   0,8984   290,63    7,172  0,99972
  90    6859,0   56,899   5,4652   0,7184   0,9075   294,33    6,702  0,99974
 100    7048,1   66,019   5,4900   0,7273   0,9165   297,97    6,277  0,99977
 110    7237,1   75,228   5,5143   0,7361   0,9252   301,57    5,892  0,99979
 120    7426,1   84,523   5,5383   0,7446   0,9337   305,13    5,540  0,99981

 130    7615,1   93,902   5,5618   0,7530   0,9421   308,64    5,219  0,99982
 140    7804,1   103,36   5,5850   0,7611   0,9502   312,11    4,924  0,99984
 150    7993,1   112,90   5,6078   0,7691   0,9582   315,54    4,653  0,99985
 160    8182,1   122,53   5,6303   0,7770   0,9660   318,93    4,403  0,99987
 170    8371,1   132,22   5,6524   0,7846   0,9737   322,29    4,173  0,99988

 180    8560,1   142,00   5,6742   0,7921   0,9812   325,61    3,959  0,99989
 190    8749,1   151,85   5,6957   0,7995   0,9885   328,89    3,760  0,99990
 200    8938,1   161,77   5,7169   0,8066   0,9957   332,14    3,576  0,99991
 210    9127,1   171,76   5,7378   0,8137   1,0027   335,36    3,404  0,99991
 220    9316,1   181,82   5,7584   0,8206   1,0096   338,54    3,243  0,99992

 230    9505,0   191,95   5,7788   0,8274   1,0164   341,70    3,092  0,99993
 240    9694,0   202,15   5,7988   0,8340   1,0230   344,82    2,951  0,99993
 250    9883,0   212,41   5,8186   0,8405   1,0295   347,92    2,819  0,99994
 260   10071,9   222,74   5,8382   0,8469   1,0359   350,99    2,695  0,99995
 270   10260,9   233,13   5,8575   0,8531   1,0421   354,03    2,578  0,99995

 280   10449,9   243,58   5,8766   0,8593   1,0483   357,04    2,467  0,99996
 290   10638,8   254,10   5,8954   0,8653   1,0543   360,03    2,363  0,99996
 300   10827,8   264,67   5,9140   0,8712   1,0602   362,99    2,264  0,99996
 310   11016,7   275,30   5,9324   0,8770   1,0660   365,93    2,171  0,99997
 320   11205,7   285,99   5,9506   0,8827   1,0717   368,84    2,083  0,99997



Tabelle 11.4. Zustandsgrößen Volumen v, Enthalpie h, Entropie s, isochore Wärmekapazität cv, isobare Wärmekapazität cp, Schallgeschwindigkeit a, Joule- Thomson-Koeffizient μ und Fugazität f für Kohlendioxid beim Druck p = 100 kPa. Weitere Angaben siehe Tabelle 11.1.
-----------------------------------------------------------------------------
   t       v        h       s       
cv       cp       a        μ       f/p 
  °C    dm³/kg    kJ/kg  kJ/kg K   kJ/kg K  kJ/kg K   m/s     K/MPa         
-----------------------------------------------------------------------------

 -56,6  403,28  -67,204   4,5964   0,5761   0,7785   231,72   26,060  0,98574
 -50    416,08  -62,085   4,6197   0,5819   0,7828   235,02   23,909  0,98710
 -40    435,52  -54,219   4,6542   0,5914   0,7905   239,90   21,109  0,98886
 -30    454,87  -46,273   4,6876   0,6013   0,7989   244,63   18,778  0,99030
 -20    474,17  -38,239   4,7199   0,6114   0,8079   249,23   16,816  0,99151

 -10    493,41  -30,114   4,7514   0,6217   0,8172   253,71   15,149  0,99253
   0    512,61  -21,895   4,7821   0,6320   0,8267   258,09   13,721  0,99339
  10    531,78  -13,579   4,8120   0,6422   0,8363   262,37   12,488  0,99412
  20    550,91   -5,168   4,8412   0,6524   0,8460   266,57   11,417  0,99476
  25    560,47   -0,926   4,8555   0,6575   0,8508   268,63   10,932  0,99504

  30    570,02    3,340   4,8697   0,6625   0,8555   270,68   10,479  0,99531
  40    589,11   11,943   4,8976   0,6724   0,8651   274,72    9,653  0,99579
  50    608,18   20,640   4,9250   0,6821   0,8745   278,69    8,923  0,99620
  60    627,24   29,432   4,9517   0,6917   0,8837   282,60    8,273  0,99657
  70    646,28   38,315   4,9780   0,7011   0,8929   286,44    7,692  0,99690

  80    665,31   47,288   5,0038   0,7103   0,9018   290,23    7,171  0,99719
  90    684,32   56,351   5,0291   0,7193   0,9107   293,96    6,701  0,99745
 100    703,33   65,501   5,0540   0,7282   0,9193   297,64    6,276  0,99768
 110    722,33   74,737   5,0784   0,7368   0,9278   301,27    5,890  0,99789
 120    741,32   84,056   5,1024   0,7453   0,9361   304,85    5,538  0,99807

 130    760,31   93,459   5,1260   0,7536   0,9443   308,39    5,216  0,99824
 140    779,28   102,94   5,1492   0,7617   0,9523   311,88    4,921  0,99839
 150    798,26   112,50   5,1721   0,7696   0,9601   315,33    4,650  0,99853
 160    817,22   122,14   5,1946   0,7774   0,9678   318,75    4,400  0,99866
 170    836,19   131,86   5,2168   0,7850   0,9753   322,12    4,169  0,99877

 180    855,15   141,65   5,2386   0,7925   0,9827   325,45    3,956  0,99888
 190    874,10   151,51   5,2602   0,7998   0,9900   328,75    3,757  0,99897
 200    893,05   161,45   5,2814   0,8070   0,9971   332,02    3,572  0,99906
 210    912,00   171,45   5,3023   0,8140   1,0040   335,25    3,400  0,99914
 220    930,95   181,53   5,3230   0,8209   1,0108   338,45    3,240  0,99921

 230    949,89   191,67   5,3433   0,8276   1,0175   341,62    3,089  0,99928
 240    968,83   201,88   5,3634   0,8342   1,0241   344,75    2,948  0,99935
 250    987,77   212,15   5,3832   0,8407   1,0305   347,86    2,816  0,99940
 260    1006,7   222,49   5,4028   0,8471   1,0369   350,94    2,692  0,99946
 270    1025,6   232,89   5,4221   0,8533   1,0431   353,99    2,575  0,99951

 280    1044,6   243,35   5,4412   0,8595   1,0492   357,01    2,464  0,99955
 290    1063,5   253,87   5,4601   0,8655   1,0551   360,00    2,360  0,99960
 300    1082,4   264,45   5,4787   0,8714   1,0610   362,97    2,262  0,99964
 310    1101,3   275,09   5,4971   0,8772   1,0668   365,92    2,168  0,99968
 320    1120,3   285,79   5,5153   0,8828   1,0724   368,84    2,080  0,99971



Tabelle 11.5. Zustandsgrößen Volumen v, Enthalpie h, Entropie s, isochore Wärmekapazität cv, isobare Wärmekapazität cp, Schallgeschwindigkeit a, Joule- Thomson-Koeffizient μ und Fugazität f für Kohlendioxid beim Druck p = 1 MPa. Weitere Angaben siehe Tabelle 11.1.
-----------------------------------------------------------------------------
   t       v        h       s       
cv       cp       a        μ       f/p 
  °C    dm³/kg    kJ/kg  kJ/kg K   kJ/kg K  kJ/kg K   m/s     K/MPa         
-----------------------------------------------------------------------------

 -56,5  0,8481  -426,41   2,6372   0,9751   1,9503   977,76  -0,1457  0,48653
 -50    0,8656  -413,76   2,6947   0,9659   1,9686   930,44  -0,1206  0,62632
 -40    38,485  -71,358   4,1659   0,6801   1,0315   223,59   21,509  0,88856
 -30    41,012  -61,280   4,2082   0,6708   0,9870   230,61   19,047  0,90329
 -20    43,418  -51,566   4,2474   0,6662   0,9581   237,05   17,000  0,91546

 -10    45,738  -42,081   4,2841   0,6658   0,9403   243,03   15,280  0,92564
   0    47,992  -32,737   4,3190   0,6682   0,9296   248,65   13,817  0,93425
  10    50,196  -23,473   4,3523   0,6724   0,9238   253,98   12,559  0,94160
  20    52,360  -14,251   4,3843   0,6779   0,9212   259,06   11,468  0,94791
  25    53,429   -9,646   4,3998   0,6810   0,9209   261,53   10,976  0,95074

  30    54,491   -5,041   4,4152   0,6842   0,9210   263,95   10,515  0,95338
  40    56,596    4,176   4,4451   0,6911   0,9225   268,66    9,676  0,95814
  50    58,677   13,414   4,4741   0,6984   0,9253   273,23    8,935  0,96231
  60    60,740   22,685   4,5024   0,7059   0,9290   277,66    8,276  0,96597
  70    62,786   31,997   4,5299   0,7135   0,9335   281,97    7,688  0,96922

  80    64,818   41,356   4,5568   0,7213   0,9384   286,18    7,160  0,97209
  90    66,838   50,767   4,5831   0,7291   0,9438   290,29    6,685  0,97466
 100    68,847   60,233   4,6088   0,7369   0,9494   294,31    6,256  0,97695
 110    70,847   69,757   4,6340   0,7446   0,9553   298,25    5,866  0,97901
 120    72,838   79,340   4,6587   0,7523   0,9614   302,12    5,511  0,98086

 130    74,822   88,984   4,6829   0,7599   0,9675   305,91    5,188  0,98254
 140    76,799   98,690   4,7067   0,7674   0,9737   309,64    4,891  0,98405
 150    78,771   108,46   4,7300   0,7748   0,9799   313,31    4,619  0,98542
 160    80,736   118,29   4,7530   0,7822   0,9862   316,93    4,368  0,98667
 170    82,698   128,18   4,7756   0,7894   0,9925   320,48    4,136  0,98781

 180    84,654   138,14   4,7978   0,7965   0,9987   323,99    3,922  0,98885
 190    86,607   148,16   4,8197   0,8035   1,0049   327,45    3,724  0,98980
 200    88,556   158,24   4,8412   0,8103   1,0110   330,86    3,539  0,99067
 210    90,501   168,38   4,8624   0,8171   1,0172   334,23    3,367  0,99148
 220    92,444   178,58   4,8833   0,8237   1,0232   337,56    3,207  0,99221

 230    94,384   188,84   4,9039   0,8303   1,0292   340,85    3,056  0,99289
 240    96,321   199,16   4,9242   0,8367   1,0351   344,09    2,916  0,99352
 250    98,255   209,54   4,9442   0,8430   1,0409   347,31    2,784  0,99410
 260    100,19   219,98   4,9640   0,8492   1,0467   350,48    2,660  0,99464
 270    102,12   230,48   4,9835   0,8553   1,0524   353,62    2,544  0,99513

 280    104,05   241,03   5,0028   0,8613   1,0580   356,73    2,434  0,99560
 290    105,97   251,64   5,0218   0,8672   1,0636   359,81    2,331  0,99602
 300    107,90   262,30   5,0405   0,8730   1,0690   362,86    2,233  0,99642
 310    109,82   273,02   5,0591   0,8787   1,0744   365,87    2,140  0,99679
 320    111,74   283,79   5,0774   0,8843   1,0797   368,86    2,052  0,99714



Tabelle 11.6. Zustandsgrößen Volumen v, Enthalpie h, Entropie s, isochore Wärmekapazität cv, isobare Wärmekapazität cp, Schallgeschwindigkeit a, Joule- Thomson-Koeffizient μ und Fugazität f für Kohlendioxid beim kritischen Druck pc = 7,3773 MPa. Weitere Angaben siehe Tabelle 11.1.
-----------------------------------------------------------------------------
   t       v        h       s       
cv       cp       a        μ       f/p 
  °C    dm³/kg    kJ/kg  kJ/kg K   kJ/kg K  kJ/kg K   m/s     K/MPa         
-----------------------------------------------------------------------------

 -55,1  0,8423  -421,89   2,6332   0,9808   1,9151   1002,5  -0,1631  0,07941
 -50    0,8551  -412,10   2,6776   0,9732   1,9236   967,76  -0,1471  0,09670
 -40    0,8822  -392,74   2,7624   0,9596   1,9490   899,67  -0,1083  0,13751
 -30    0,9130  -373,07   2,8450   0,9477   1,9889   830,88  -0,0563  0,18789
 -20    0,9486  -352,90   2,9263   0,9379   2,0488   760,26   0,0143  0,24789

 -10    0,9911  -331,99   3,0073   0,9311   2,1391   686,13   0,1137  0,31705
   0    1,0440  -309,95   3,0895   0,9293   2,2821   606,23   0,2614  0,39437
  10    1,1148  -285,99   3,1756   0,9350   2,5375   517,04   0,5036  0,47820
  20    1,2249  -258,08   3,2724   0,9599   3,1572   409,78   0,9901  0,56597
  25    1,3198  -240,45   3,3320   0,9943   4,0402   341,28   1,5119  0,61003

  30    1,5536  -211,82   3,4271   1,1374  10,4735   231,72   3,1197  0,65260
  40    4,4956   -83,98   3,8456   0,9560   3,1184   213,67   8,5859  0,69899
  50    5,3111   -59,01   3,9242   0,8804   2,0963   229,30   8,1536  0,73186
  60    5,9379   -40,11   3,9818   0,8459   1,7293   240,88   7,6232  0,75939
  70    6,4759   -23,86   4,0299   0,8272   1,5380   250,52   7,1079  0,78311

  80    6,9601    -9,11   4,0723   0,8164   1,4207   258,96   6,6295  0,80386
  90    7,4076     4,68   4,1108   0,8103   1,3420   266,55   6,1914  0,82218
 100    7,8282    17,81   4,1464   0,8071   1,2863   273,52   5,7917  0,83847
 110    8,2281    30,46   4,1799   0,8061   1,2454   279,99   5,4271  0,85304
 120    8,6117    42,75   4,2116   0,8065   1,2146   286,06   5,0942  0,86612

 130    8,9818    54,77   4,2418   0,8080   1,1911   291,80   4,7897  0,87791
 140    9,3409    66,59   4,2707   0,8104   1,1730   297,26   4,5106  0,88857
 150    9,6906    78,25   4,2986   0,8135   1,1589   302,48   4,2541  0,89824
 160    10,032    89,78   4,3255   0,8170   1,1480   307,48   4,0180  0,90704
 170    10,367   101,22   4,3516   0,8210   1,1396   312,30   3,8002  0,91505

 180    10,696   112,58   4,3770   0,8252   1,1332   316,95   3,5987  0,92238
 190    11,019   123,89   4,4017   0,8297   1,1284   321,45   3,4121  0,92909
 200    11,338   135,15   4,4257   0,8344   1,1249   325,83   3,2388  0,93524
 210    11,653   146,39   4,4492   0,8392   1,1225   330,07   3,0776  0,94089
 220    11,964   157,60   4,4722   0,8441   1,1210   334,21   2,9273  0,94609

 230    12,271   168,81   4,4947   0,8491   1,1203   338,25   2,7870  0,95089
 240    12,576   180,01   4,5167   0,8541   1,1201   342,19   2,6558  0,95532
 250    12,877   191,21   4,5384   0,8592   1,1206   346,05   2,5329  0,95942
 260    13,177   202,42   4,5596   0,8643   1,1214   349,83   2,4175  0,96321
 270    13,474   213,64   4,5804   0,8693   1,1227   353,53   2,3091  0,96672

 280    13,768   224,88   4,6009   0,8744   1,1243   357,16   2,2071  0,96999
 290    14,061   236,13   4,6211   0,8795   1,1261   360,72   2,1109  0,97302
 300    14,352   247,40   4,6409   0,8845   1,1282   364,23   2,0202  0,97584
 310    14,641   258,69   4,6605   0,8895   1,1305   367,67   1,9344  0,97846
 320    14,929   270,01   4,6797   0,8945   1,1329   371,07   1,8532  0,98090



Tabelle 11.7. Zustandsgrößen Volumen v, Enthalpie h, Entropie s, isochore Wärmekapazität cv, isobare Wärmekapazität cp, Schallgeschwindigkeit a, Joule- Thomson-Koeffizient μ und Fugazität f für Kohlendioxid beim Druck p = 10 MPa. Weitere Angaben siehe Tabelle 11.1.
-----------------------------------------------------------------------------
   t       v        h       s       
cv       cp       a        μ       f/p 
  °C    dm³/kg    kJ/kg  kJ/kg K   kJ/kg K  kJ/kg K   m/s     K/MPa         
-----------------------------------------------------------------------------

 -54,5  0,8401  -420,00   2,6317   0,9827   1,9023   1012,4  -0,1695  0,06317
 -50    0,8511  -411,33   2,6709   0,9759   1,9081   982,27  -0,1564  0,07522
 -40    0,8772  -392,16   2,7550   0,9621   1,9283   916,23  -0,1213  0,10690
 -30    0,9066  -372,73   2,8366   0,9499   1,9604   849,97  -0,0750  0,14600
 -20    0,9401  -352,90   2,9165   0,9397   2,0080   782,69  -0,0135  0,19260

 -10    0,9793  -332,50   2,9955   0,9318   2,0771   713,38   0,0702  0,24638
   0    1,0266  -311,25   3,0748   0,9272   2,1793   640,90   0,1879  0,30665
  10    1,0864  -288,72   3,1557   0,9267   2,3386   563,69   0,3632  0,37233
  20    1,1678  -264,08   3,2413   0,9347   2,6217   478,84   0,6502  0,44181
  25    1,2231  -250,40   3,2875   0,9446   2,8679   432,31   0,8751  0,47732

  30    1,2962  -235,16   3,3382   0,9603   3,2601   382,45   1,2018  0,51283
  40    1,5908  -193,74   3,4724   1,0291   5,6575   269,89   2,6596  0,58139
  50    2,6019  -122,71   3,6957   1,0286   5,8077   218,24   5,6138  0,63740
  60    3,4489   -81,76   3,8207   0,9395   3,0328   229,93   6,2836  0,67812
  70    4,0360   -56,13   3,8966   0,8904   2,2212   241,62   6,2095  0,71122

  80    4,5126   -35,93   3,9546   0,8641   1,8573   251,63   5,9546  0,73949
  90    4,9278   -18,47   4,0034   0,8485   1,6524   260,44   5,6513  0,76416
 100    5,3032    -2,64   4,0464   0,8389   1,5218   268,40   5,3423  0,78596
 110    5,6506    12,10   4,0854   0,8331   1,4320   275,71   5,0431  0,80537
 120    5,9770    26,08   4,1214   0,8298   1,3672   282,49   4,7595  0,82276

 130    6,2870    39,50   4,1551   0,8284   1,3189   288,84   4,4935  0,83841
 140    6,5838    52,50   4,1869   0,8284   1,2820   294,84   4,2453  0,85256
 150    6,8699    65,17   4,2173   0,8294   1,2534   300,53   4,0143  0,86539
 160    7,1468    77,59   4,2463   0,8313   1,2308   305,96   3,7993  0,87705
 170    7,4162    89,80   4,2741   0,8338   1,2129   311,16   3,5994  0,88769

 180    7,6789   101,86   4,3010   0,8368   1,1987   316,16   3,4133  0,89741
 190    7,9359   113,78   4,3271   0,8403   1,1873   320,98   3,2400  0,90631
 200    8,1879   125,61   4,3523   0,8440   1,1783   325,63   3,0783  0,91448
 210    8,4355   137,35   4,3769   0,8480   1,1711   330,14   2,9274  0,92199
 220    8,6792   149,04   4,4008   0,8522   1,1655   334,52   2,7863  0,92890

 230    8,9193   160,67   4,4242   0,8565   1,1612   338,78   2,6541  0,93527
 240    9,1563   172,26   4,4470   0,8610   1,1579   342,93   2,5303  0,94116
 250    9,3905   183,83   4,4693   0,8656   1,1556   346,97   2,4140  0,94661
 260    9,6221   195,38   4,4912   0,8702   1,1540   350,92   2,3047  0,95165
 270    9,8513   206,91   4,5126   0,8749   1,1531   354,79   2,2019  0,95633

 280    10,078   218,44   4,5337   0,8796   1,1527   358,57   2,1049  0,96067
 290    10,303   229,97   4,5543   0,8843   1,1527   362,28   2,0135  0,96470
 300    10,527   241,50   4,5746   0,8891   1,1532   365,92   1,9270  0,96845
 310    10,748   253,03   4,5946   0,8938   1,1540   369,49   1,8453  0,97195
 320    10,968   264,58   4,6142   0,8985   1,1552   373,00   1,7679  0,97520



Tabelle 11.8. Zustandsgrößen Volumen v, Enthalpie h, Entropie s, isochore Wärmekapazität cv, isobare Wärmekapazität cp, Schallgeschwindigkeit a, Joule- Thomson-Koeffizient μ und Fugazität f für Kohlendioxid beim Druck p = 100 MPa. Weitere Angaben siehe Tabelle 11.1.
-----------------------------------------------------------------------------
   t       v        h       s       
cv       cp       a        μ       f/p 
  °C    dm³/kg    kJ/kg  kJ/kg K   kJ/kg K  kJ/kg K   m/s     K/MPa         
-----------------------------------------------------------------------------

 -37,1  0,7900  -351,56   2,6111   1,0097   1,6918  1280,24  -0,2775  0,06261
 -50    0,7728  -373,55   2,5153   1,0318   1,7149  1331,13  -0,2802  0,04202
 -40    0,7861  -356,50   2,5900   1,0143   1,6967  1291,54  -0,2782  0,05752
 -30    0,7998  -339,61   2,6609   0,9992   1,6806  1253,20  -0,2754  0,07607
 -20    0,8138  -322,88   2,7284   0,9860   1,6662  1216,09  -0,2718  0,09765

 -10    0,8283  -306,28   2,7927   0,9747   1,6534  1180,21  -0,2673  0,12215
   0    0,8432  -289,81   2,8541   0,9650   1,6419  1145,59  -0,2621  0,14938
  10    0,8585  -273,44   2,9130   0,9566   1,6315  1112,26  -0,2561  0,17909
  20    0,8743  -257,18   2,9694   0,9495   1,6220  1080,23  -0,2495  0,21097
  25    0,8824  -249,08   2,9968   0,9464   1,6174  1064,73  -0,2459  0,22763

  30    0,8906  -241,00   3,0237   0,9435   1,6131  1049,56  -0,2422  0,24472
  40    0,9073  -224,91   3,0759   0,9384   1,6047  1020,26  -0,2344  0,27999
  50    0,9245  -208,90   3,1262   0,9342   1,5968   992,36  -0,2261  0,31645
  60    0,9422  -192,98   3,1748   0,9308   1,5890   965,87  -0,2173  0,35377
  70    0,9603  -177,12   3,2217   0,9281   1,5814   940,79  -0,2083  0,39165

  80    0,9789  -161,35   3,2670   0,9260   1,5739   917,11  -0,1991  0,42978
  90    0,9980  -145,65   3,3108   0,9245   1,5664   894,82  -0,1897  0,46791
 100    1,0175  -130,02   3,3533   0,9235   1,5588   873,89  -0,1802  0,50581
 110    1,0375  -114,47   3,3944   0,9230   1,5513   854,27  -0,1708  0,54326
 120    1,0578   -98,99   3,4343   0,9228   1,5438   835,93  -0,1614  0,58009

 130    1,0786   -83,59   3,4729   0,9231   1,5363   818,82  -0,1521  0,61614
 140    1,0998   -68,27   3,5105   0,9236   1,5288   802,88  -0,1430  0,65130
 150    1,1213   -53,02   3,5470   0,9245   1,5214   788,05  -0,1340  0,68546
 160    1,1431   -37,84   3,5824   0,9256   1,5141   774,28  -0,1253  0,71854
 170    1,1653   -22,74   3,6169   0,9270   1,5069   761,50  -0,1169  0,75048

 180    1,1877    -7,70   3,6504   0,9285   1,4999   749,67  -0,1088  0,78124
 190    1,2105     7,26   3,6831   0,9303   1,4930   738,73  -0,1010  0,81078
 200    1,2335    22,16   3,7149   0,9322   1,4862   728,63  -0,0935  0,83910
 210    1,2567    36,99   3,7459   0,9343   1,4796   719,33  -0,0866  0,86619
 220    1,2802    51,75   3,7762   0,9364   1,4732   710,78  -0,0801  0,89206

 230    1,3039    66,45   3,8057   0,9387   1,4668   702,94  -0,0741  0,91672
 240    1,3277    81,09   3,8345   0,9412   1,4606   695,78  -0,0687  0,94019
 250    1,3517    95,66   3,8626   0,9436   1,4545   689,26  -0,0640  0,96250
 260    1,3758   110,18   3,8901   0,9462   1,4485   683,33  -0,0598  0,98368
 270    1,4001   124,64   3,9170   0,9489   1,4427   677,97  -0,0563  1,00376

 280    1,4244   139,03   3,9433   0,9516   1,4370   673,13  -0,0535  1,02278
 290    1,4488   153,38   3,9690   0,9543   1,4315   668,77  -0,0513  1,04078
 300    1,4732   167,66   3,9941   0,9571   1,4261   664,86  -0,0497  1,05779
 310    1,4977   181,90   4,0187   0,9599   1,4209   661,36  -0,0487  1,07386
 320    1,5222   196,08   4,0428   0,9628   1,4160   658,24  -0,0482  1,08904




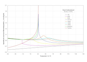
Abb. 11.1. Spezifische isobare Wärmekapazität cp von Kohlendioxid als Funktion des Druckes p und der Temperatur t.



Abb. 11.2. Spezifische isochore Wärmekapazität cv von Kohlendioxid als Funktion des Druckes p und der Temperatur t.



Abb. 11.3. Schallgeschwindigkeit a von Kohlendioxid als Funktion des Druckes p und der Temperatur t.



Abb. 11.4. Joule-Thomson-Koeffizient μ von Kohlendioxid als Funktion des Druckes p und der Temperatur t.




Abb. 11.5. Druck/Enthalpie-Diagramm für Kohlendioxid. Der Referenzzustand ist t = 0°C bei siedender Flüssigkeit mit h = 200 kJ/kg und s = 1 kJ/kg K nach IIR. Die Einheit des spezifischen Voumens v ist m³/kg.



Abb. 11.6. Dynamische Viskosität η von Kohlendioxid als Funktion des Druckes p und der Temperatur t.



Abb. 11.7. Wärmeleitfähigkeit λ von Kohlendioxid als Funktion des Druckes p und der Temperatur t.

Keine Kommentare:

Kommentar veröffentlichen