Montag, 30. Dezember 2013

Liefergrad und isentroper Wirkungsgrad eines Axialkolbenverdichters



Abb. 46.1. Isentroper Wirkungsgrad (isentropic efficiency) η eines Axial-kolbenverdichters (swash plate compressor) in Abhängigkeit vom Druck-verhältnis Π und der Drehzahl n. Das Kältemittel R134a hat die Ansaugüberhitzung Δt = 10 K und die Kondensationstemperatur tK = 60°C. Der angenommene Verdichter hat den Kolbenhub sH = 30,95 mm, den Kolbendurchmesser d = 30,95 mm, die Kolbenanzahl z = 7, das relative Schadvolumen ε = 0,023, das Öffnungsverhältnis des jeweiligen Saug- und Druckventils χ = 0,045 und die mechanische Dissipation Ψ = 2,25 J je Kolben und Wellenumdrehung. Die Verdichtersimulation stammt von H.-H. Vogel (Die elektrische Luft/Wasser-Wärmepumpe für die Wohnraumheizung. Forschungsberichte des DKV Nr. 21. Stuttgart: 1987). Die Messdaten sind von J.H. Darr (Modeling of an Automotive Air Conditioning Compressor Based on Experimental Data. ACRC TR-14. Department of Mechanical and Industrial Engineering. University of Illinois at Urbana-Champaign: 1992).



Abb. 46.2. Liefergrad λ (volumetric efficiency) eines Axialkolbenverdichters in Abhängigkeit vom Druckverhältnis Π und der Drehzahl n. Weitere Angaben siehe Abb. 46.1.



Abb. 46.3. Isentroper Wirkungsgrad η eines Axialkolbenverdichters in Abhän- gigkeit vom Druckverhältnis Π und vom Kältemittel (R134a, R152a, R1234yf, R407c, R290) bei der Drehzahl n = 1000 U/min. Weitere Angaben siehe Abb. 46.1.



Abb. 46.4. Liefergrad λ eines Axialkolbenverdichters in Abhängigkeit vom Druckverhältnis Π und vom Kältemittel (R134a, R152a, R1234yf, R407c, R290) bei der Drehzahl n = 1000 U/min. Weitere Angaben siehe Abb. 46.1.



Abb. 46.5. Isentroper Wirkungsgrad η eines Axialkolbenverdichters in Abhän- gigkeit vom Druckverhältnis Π und vom Kältemittel (R134a, R152a, R1234yf, R407c, R290) bei der Drehzahl n = 4000 U/min. Weitere Angaben siehe Abb. 46.1.



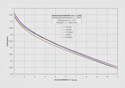
Abb. 46.6. Liefergrad λ eines Axialkolbenverdichters in Abhängigkeit vom Druckverhältnis Π und vom Kältemittel (R134a, R152a, R1234yf, R407c, R290) bei der Drehzahl n = 4000 U/min. Weitere Angaben siehe Abb. 46.1.



Abb. 46.7. Einfluss der Kondensationstemperatur tK des Kältemittels R134a auf den isentropen Wirkungsgrad η als Funktion des Druckverhältnisses Π bei der Drehzahl n = 1000 U/min. Weitere Angaben siehe Abb. 46.1.



Abb. 46.8. Einfluss der Kondensationstemperatur tK des Kältemittels R134a auf den Liefergrad λ als Funktion des Druckverhältnisses Π bei der Drehzahl n = 1000 U/min. Weitere Angaben siehe Abb. 46.1.



Abb. 46.9. Einfluss der Kondensationstemperatur tK des Kältemittels R134a auf den isentropen Wirkungsgrad η als Funktion des Druckverhältnisses Π bei der Drehzahl n = 4000 U/min. Weitere Angaben siehe Abb. 46.1.



Abb. 46.10. Einfluss der Kondensationstemperatur tK des Kältemittels R134a auf den Liefergrad λ als Funktion des Druckverhältnisses Π bei der Drehzahl n = 4000 U/min. Weitere Angaben siehe Abb. 46.1.



Abb. 46.11. Einfluss der Sauggasüberhitzung Δt des Kältemittels R134a auf den isentropen Wirkungsgrad η als Funktion des Druckverhältnisses Π bei der Dreh- zahl n = 1000 U/min. Weitere Angaben siehe Abb. 46.1.

Montag, 9. Dezember 2013

Fahrzeugklimaanlage (automotive air conditioning) mit den Kältemitteln R134a, R152a und R1234yf



Abb. 45.1. Kältemittelkreislauf in einer Fahrzeugklimaanlage schematisch. Beschreibung und Modellannahmen siehe Abb. 45.2.



Abb. 45.2. Schaltbild einer Fahrzeugklimaanlage mit folgenden Modellannahmen für die nachfolgenden Bilder. Nach dem Verdampfer wird das um ΔTü = 5 K überhitzte Kältemittel vom Verdampferdruck p0 durch den adiabat angenommenen Verdichter (Leistung P) mit dem Hubvolumen VH = 163 cm3 und der Drehzahl n = 800 U/min (Leerlauf des Motors) auf den Kondensatordruck pc bzw. einfach p verdichtet und gefördert. Durch den kälteren Außenluftstrom wird im Kondensator das gasförmige Kältemittel isobar enthitzt, kondensiert und um ΔTu = 5 K unterkühlt. In der Drossel (Expansionsventil) wird das Kältemittel adiabat (isenthalp) auf den Verdampferdruck p0 gedrosselt. Das zweiphasige Kältemittel wird abschließend durch den wärmeren Innenluftstrom isobar verdampft und überhitzt. Zur Simulation der Wärmeübertragung wird für den Verdampfer der thermische Austauschgrad Φ0 = 0,5 angenommen, und für den Kondensator Φ = 0,85. Druckverluste sind vernachlässigt. Der Liefergrad λ und der isentrope Wirkungsgrad η des Verdichters werden mit dem Modell von H.-H. Vogel beschrieben. Die Lufteintrittstemperatur zum Verdampfer (Innenraum) ist exemplarisch 25 °C mit der relativen Feuchte φ = 0,5.



Abb. 45.3. Leistungszahl COP = Q0/P (Coefficient of Performance) und Kälte-leistung Q0 für die Kältemittel R134a (Tetrafluorethan), R152a (Difluorethan) und R1234yf (Tetrafluorpropen) als Funktion der Außentemperatur t (Luftein- tritt zum Kondensator). Der Luftmassenstrom zum Verdampfer mit der Temperatur 25 °C beträgt 350 kg/h, der zum Kondensator 750 kg/h. Weitere Angaben siehe Abb. 45.2.



Abb. 45.4. Verdampfungs- und Kondensationsdruck für die Kältemittel R134a, R152a und R1234yf als Funktion der Außentemperatur t gemäß Modell nach Abb. 45.2 und Abb. 45.3.



Abb. 45.5. Druckverhältnis p/p0 und adiabate Verdichtungstemperatur t2 für die Kältemittel R134a, R152a und R1234yf als Funktion der Außentemperatur t gemäß Modell nach Abb. 45.2 und Abb. 45.3.



Abb. 45.6. Leistungszahl COP und Kälteleistung Q0 für das Kältemittel R134a bei verschiedenen Luftmassenströmen durch Verdampfer und Kondensator als Funktion der Außentemperatur t. Weitere Angaben siehe Abb. 45.2 und Abb. 45.3.



Abb. 45.7. Leistungszahl COP und Kälteleistung Q0 für das Kältemittel R1234yf bei verschiedenen Luftmassenströmen durch Verdampfer und Kondensator als Funktion der Außentemperatur t. Weitere Angaben siehe Abb. 45.2 und Abb. 45.3.



Abb. 45.8. Exergetische Verlustgrade Evi/P der Anlagenkomponenten Verdichter, Kondensator, Drossel und Verdampfer sowie exergetischer Gesamtwirkungsgrad ζ = 1-Ev/P der Klimaanlage mit dem Kältemittel R1234yf als Funktion der Außen-temperatur t. Die Summe dieser Werte ergibt für einen Betriebszustand den Wert eins. Der Luftmassenstrom durch den Verdampfer ist unverändert 350 kg/h, der Luftmassenstrom durch den Kondensator variiert zwischen 750 kg/h und 1200 kg/h.



Abb. 45.9. Kälteleistung Q0 der Klimaanlage nach Abb. 45.2 als Kälteanlage mit dem Kältemittel R134a in Abhängigkeit von der Außentemperatur ta und den Kühlraumtemperaturen -20°C und 0°C. Das Hubvolumen des Axialkolbenverdichters beträgt hier VH = 155 cm3, die Drehzahl n = 1500 U/min und das relative Schadvolumen ε = 0,035. Die Messwerte stammen von S. Försterling, M. Sonnekalb, N. Lembke und J. Köhler: Entwicklung und Test einer Kohlendioxid-Transportkälteanlage mittlerer Leistungsklasse unter besonderer Berücksichtigung des Verdichterkonzeptes. Abschlussbericht der Konvekta AG, gefördert unter dem Aktenzeichen 15638 von der Deutschen Bundesstiftung Umwelt. Braunschweig: 2002.



Abb. 45.10. Leistungszahl COP der Klimaanlage nach Abb. 45.2 als Kälteanlage mit dem Kältemittel R134a in Abhängigkeit von der Außentemperatur ta und der Kühlraumtemperatur ti. Der isentrope Wirkungsgrad η des Verdichters ist konstant mit dem Faktor 0,7 angepasst. Weitere Angaben siehe Abb. 45.9.

Sonntag, 24. November 2013

Zustandsgrößen für Sauerstoff (Oxygen)

Tabelle 44.1. Dampftafel für das Nassdampfgebiet von Sauerstoff (Oxygen). Der Nullpunkt der spezifischen Enthalpie h liegt im gasförmigen Standardzustand (t0 = 25 °C, p0 = 100 kPa) des idealen Gases, die spezifische Entropie s ist die konventionelle (absolute) Entropie basierend auf der Standardentropie S0 = 205,1485 J/(mol K) nach A. Burcat. Berechnet mit der Zustandsgleichung von R.B. Stewart, R.T. Jacobsen und W. Wagner (J. Phys. Chem. Ref. Data 20 (1991) 917-1021).
-----------------------------------------------------------------------------
   T        p       v'       v"       h'        h"     Δhv      s'       s"
   K       kPa    dm³/kg   m³/kg    kJ/kg     kJ/kg   kJ/kg  kJ/kg K  kJ/kg K
-----------------------------------------------------------------------------

 54,361   0,1463  0,7657  96542,7  -464,87  -222,15  242,72   2,0921   6,5571
 55,0     0,1786  0,7672  80008,8  -463,81  -221,58  242,23   2,1117   6,5159
 60,0     0,7258  0,7800  21461,6  -455,45  -217,07  238,38   2,2571   6,2300
 65,0     2,3349  0,7938   7218,8  -447,07  -212,60  234,47   2,3912   5,9984
 70,0     6,2623  0,8084   2892,5  -438,68  -208,17  230,51   2,5155   5,8085

 75,0     14,547  0,8238   1329,3  -430,28  -203,81  226,48   2,6313   5,6510
 80,0      30,12  0,8400   680,99  -421,87  -199,57  222,31   2,7397   5,5185
 85,0      56,83  0,8572   380,47  -413,44  -195,51  217,92   2,8417   5,4055
 90,0      99,35  0,8756   227,94  -404,95  -191,71  213,24   2,9383   5,3076
 95,0     163,08  0,8953   144,50  -396,38  -188,22  208,16   3,0303   5,2215

100,0     254,00  0,9167   95,925  -387,71  -185,11  202,60   3,1184   5,1445
105,0     378,53  0,9400   66,116  -378,90  -182,41  196,48   3,2033   5,0745
110,0     543,40  0,9657   46,990  -369,90  -180,21  189,70   3,2855   5,0100
115,0     755,59  0,9944   34,236  -360,68  -178,54  182,13   3,3657   4,9494
120,0    1022,28  1,0268   25,440  -351,16  -177,51  173,66   3,4443   4,8915

125,0    1350,87  1,0641   19,190  -341,28  -177,20  164,08   3,5222   4,8348
130,0    1749,07  1,1081   14,626  -330,92  -177,79  153,13   3,6001   4,7780
135,0    2225,04  1,1615   11,204  -319,91  -179,52  140,39   3,6791   4,7190
140,0    2787,78  1,2297    8,565  -307,96  -182,79  125,17   3,7611   4,6552
145,0    3447,75  1,3243    6,455  -294,48  -188,43  106,05   3,8498   4,5811

150,0    4218,61  1,4804    4,653  -277,93  -198,70   79,23   3,9546   4,4828
154,581  5042,79  2,2928    2,293  -238,84  -238,84    0,00   4,2008   4,2008



Tabelle 44.2. Zustandsgrößen Volumen v, Enthalpie h, Entropie s, isochore Wärmekapazität cv, isobare Wärmekapazität cp, Schallgeschwindigkeit a, Joule- Thomson-Koeffizient μ und Fugazität f von Sauerstoff beim Druck p = 10 kPa. Weitere Angaben siehe Tabelle 44.1.
-----------------------------------------------------------------------------
   T       v        h       s       
cv       cp       a        μ       f/p 
   K    dm³/kg    kJ/kg  kJ/kg K   kJ/kg K  kJ/kg K   m/s     K/MPa         
-----------------------------------------------------------------------------

 54,36  0,7656  -464,87   2,0921   1,1954   1,6732   1123,4  -0,3799  0,01464
 55,0   0,7672  -463,80   2,1116   1,1766   1,6716   1126,9  -0,3789  0,01787
 60,0   0,7800  -455,44   2,2571   1,0886   1,6734   1127,4  -0,3701  0,07258
 65,0   0,7938  -447,07   2,3912   1,0460   1,6772   1101,8  -0,3631  0,23323
 70,0   0,8084  -438,68   2,5155   1,0167   1,6781   1066,3  -0,3569  0,62414

 75,0   1939,0  -203,60   5,7505   0,6707   0,9382   164,23  41,4416  0,99532
 80,0   2070,2  -198,99   5,8100   0,6500   0,9133   170,18  24,3917  0,99600
 85,0   2200,8  -194,43   5,8653   0,6481   0,9106   175,54  21,1215  0,99652
 90,0   2331,4  -189,88   5,9173   0,6488   0,9111   180,66  19,9881  0,99698
 95,0   2461,9  -185,32   5,9666   0,6495   0,9116   185,64  18,9687  0,99737

100,0   2592,4  -180,76   6,0134   0,6500   0,9119   190,49  17,8425  0,99771
105,0   2722,8  -176,20   6,0579   0,6502   0,9119   195,21  16,6704  0,99800
110,0   2853,1  -171,65   6,1003   0,6504   0,9119   199,83  15,5209  0,99824
115,0   2983,4  -167,09   6,1408   0,6504   0,9117   204,34  14,4351  0,99845
120,0   3113,7  -162,53   6,1796   0,6504   0,9115   208,76  13,4317  0,99863

125,0   3243,9  -157,97   6,2168   0,6504   0,9114   213,08  12,5156  0,99878
130,0   3374,1  -153,41   6,2526   0,6503   0,9112   217,32  11,6847  0,99891
135,0   3504,3  -148,86   6,2869   0,6503   0,9111   221,47  10,9330  0,99902
140,0   3634,5  -144,30   6,3201   0,6503   0,9110   225,55  10,2534  0,99912
145,0   3764,6  -139,75   6,3520   0,6502   0,9109   229,55   9,6383  0,99920

150,0   3894,7  -135,19   6,3829   0,6502   0,9108   233,48   9,0804  0,99928
155,0   4024,8  -130,64   6,4128   0,6502   0,9107   237,35   8,5733  0,99935
160,0   4154,9  -126,09   6,4417   0,6502   0,9106   241,16   8,1109  0,99940
165,0   4284,9  -121,53   6,4697   0,6502   0,9106   244,90   7,6881  0,99946
170,0   4415,0  -116,98   6,4969   0,6502   0,9105   248,59   7,3002  0,99950

175,0   4545,0  -112,43   6,5233   0,6502   0,9105   252,23   6,9433  0,99955
180,0   4675,0  -107,88   6,5489   0,6502   0,9105   255,81   6,6139  0,99958
185,0   4805,1  -103,32   6,5739   0,6503   0,9105   259,34   6,3091  0,99962
190,0   4935,1   -98,77   6,5982   0,6503   0,9106   262,82   6,0261  0,99965
195,0   5065,1   -94,22   6,6218   0,6504   0,9106   266,25   5,7628  0,99968

200,0   5195,1   -89,67   6,6449   0,6505   0,9107   269,64   5,5171  0,99970
250,0   6494,9   -44,09   6,8483   0,6528   0,9128   301,35   3,7346  0,99986
300,0   7794,5     1,67   7,0151   0,6585   0,9185   329,71   2,6575  0,99994
350,0   9093,9    47,82   7,1574   0,6682   0,9281   355,41   1,9352  0,99998
400,0  10393,3    94,54   7,2821   0,6810   0,9409   378,94   1,4215  1,00000

450,0  11692,6   141,95   7,3938   0,6960   0,9559   400,73   1,0425  1,00001
500,0  12991,9   190,14   7,4953   0,7119   0,9717   421,13   0,7555  1,00002
550,0  14291,1   239,13   7,5887   0,7278   0,9876   440,39   0,5337  1,00002
600,0  15590,4   288,89   7,6753   0,7431   1,0030   458,72   0,3591  1,00003
650,0  16889,6   339,41   7,7561   0,7576   1,0174   476,27   0,2193  1,00003

700,0  18188,8   390,62   7,8320   0,7710   1,0308   493,15   0,1059  1,00003
750,0  19488,0   442,47   7,9036   0,7833   1,0431   509,45   0,0124  1,00003
800,0  20787,2   494,92   7,9713   0,7945   1,0543   525,23  -0,0655  1,00003
850,0  22086,4   547,89   8,0355   0,8047   1,0645   540,55  -0,1311  1,00003
900,0  23385,6   601,35   8,0966   0,8139   1,0737   555,45  -0,1870  1,00003



Tabelle 44.3. Zustandsgrößen Volumen v, Enthalpie h, Entropie s, isochore Wärmekapazität cv, isobare Wärmekapazität cp, Schallgeschwindigkeit a, Joule- Thomson-Koeffizient μ und Fugazität f von Sauerstoff beim Druck p = 100 kPa. Weitere Angaben siehe Tabelle 44.1.
-----------------------------------------------------------------------------
   T       v        h       s       
cv       cp       a        μ       f/p 
   K    dm³/kg    kJ/kg  kJ/kg K   kJ/kg K  kJ/kg K   m/s     K/MPa         
-----------------------------------------------------------------------------

 54,37  0,7656  -464,79   2,0922   1,1948   1,6728   1123,8  -0,3800  0,00148
 55,0   0,7671  -463,74   2,1114   1,1764   1,6712   1127,2  -0,3789  0,00180
 60,0   0,7800  -455,39   2,2568   1,0887   1,6732   1127,7  -0,3702  0,00729
 65,0   0,7938  -447,01   2,3909   1,0461   1,6770   1102,0  -0,3632  0,02342
 70,0   0,8083  -438,62   2,5152   1,0168   1,6779   1066,6  -0,3569  0,06266

 75,0   0,8237  -430,23   2,6310   0,9922   1,6786   1027,8  -0,3498  0,14498
 80,0   0,8399  -421,83   2,7394   0,9699   1,6814    987,7  -0,3407  0,29833
 85,0   0,8572  -413,41   2,8415   0,9490   1,6878    947,1  -0,3287  0,55780
 90,0   0,8756  -404,95   2,9383   0,9296   1,6989    905,9  -0,3130  0,96341
 95,0   240,14  -186,96   5,3573   0,6549   0,9413   183,16  20,3245  0,97365

100,0   253,73  -182,27   5,4054   0,6527   0,9352   188,37  18,4787  0,97709
105,0   267,25  -177,60   5,4510   0,6534   0,9332   193,31  17,0323  0,97998
110,0   280,70  -172,94   5,4943   0,6541   0,9316   198,11  15,7519  0,98243
115,0   294,11  -168,29   5,5357   0,6544   0,9298   202,78  14,5921  0,98450
120,0   307,46  -163,64   5,5753   0,6543   0,9280   207,35  13,5423  0,98627

125,0   320,78  -159,01   5,6131   0,6540   0,9262   211,80  12,5955  0,98778
130,0   334,06  -154,38   5,6494   0,6537   0,9246   216,16  11,7432  0,98909
135,0   347,31  -149,76   5,6843   0,6533   0,9231   220,42  10,9763  0,99021
140,0   360,54  -145,15   5,7178   0,6530   0,9218   224,59  10,2856  0,99119
145,0   373,74  -140,54   5,7501   0,6527   0,9207   228,68   9,6622  0,99205

150,0   386,93  -135,94   5,7813   0,6524   0,9196   232,70   9,0980  0,99280
155,0   400,09  -131,35   5,8115   0,6521   0,9188   236,64   8,5861  0,99347
160,0   413,25  -126,76   5,8406   0,6519   0,9180   240,51   8,1199  0,99405
165,0   426,39  -122,17   5,8689   0,6517   0,9173   244,31   7,6941  0,99458
170,0   439,52  -117,58   5,8962   0,6516   0,9167   248,05   7,3039  0,99505

175,0   452,64  -113,00   5,9228   0,6514   0,9162   251,73   6,9451  0,99546
180,0   465,75  -108,42   5,9486   0,6513   0,9158   255,36   6,6143  0,99584
185,0   478,85  -103,84   5,9737   0,6513   0,9154   258,93   6,3082  0,99618
190,0   491,94   -99,27   5,9981   0,6512   0,9151   262,45   6,0243  0,99649
195,0   505,03   -94,69   6,0219   0,6512   0,9148   265,92   5,7602  0,99677

200,0   518,11   -90,12   6,0450   0,6513   0,9146   269,34   5,5138  0,99702
250,0   648,69   -44,40   6,2491   0,6531   0,9150   301,25   3,7295  0,99863
300,0   779,02     1,45   6,4163   0,6587   0,9199   329,72   2,6530  0,99938
350,0   909,20    47,66   6,5587   0,6683   0,9291   355,48   1,9316  0,99977
400,0  1039,31    94,42   6,6835   0,6812   0,9417   379,05   1,4187  0,99998

450,0  1169,37   141,86   6,7953   0,6961   0,9564   400,86   1,0404  1,00011
500,0  1299,40   190,07   6,8969   0,7119   0,9722   421,27   0,7539  1,00018
550,0  1429,40   239,08   6,9903   0,7278   0,9880   440,54   0,5324  1,00023
600,0  1559,39   288,86   7,0769   0,7432   1,0033   458,87   0,3580  1,00025
650,0  1689,36   339,39   7,1578   0,7576   1,0177   476,42   0,2185  1,00027

700,0  1819,33   390,61   7,2337   0,7710   1,0310   493,31   0,1052  1,00027
750,0  1949,28   442,47   7,3052   0,7833   1,0433   509,60   0,0119  1,00027
800,0  2079,23   494,92   7,3729   0,7945   1,0545   525,39  -0,0659  1,00027
850,0  2209,18   547,90   7,4372   0,8047   1,0646   540,71  -0,1315  1,00027
900,0  2339,12   601,37   7,4983   0,8139   1,0738   555,61  -0,1874  1,00027



Tabelle 44.4. Zustandsgrößen Volumen v, Enthalpie h, Entropie s, isochore Wärmekapazität cv, isobare Wärmekapazität cp, Schallgeschwindigkeit a, Joule- Thomson-Koeffizient μ und Fugazität f von Sauerstoff beim Druck p = 1 MPa. Weitere Angaben siehe Tabelle 44.1.
-----------------------------------------------------------------------------
   T       v        h       s       
cv       cp       a        μ       f/p 
   K    dm³/kg    kJ/kg  kJ/kg K   kJ/kg K  kJ/kg K   m/s     K/MPa         
-----------------------------------------------------------------------------

 54,48  0,7653  -464,05   2,0932   1,1895   1,6690  1127,23  -0,3806  0,00016
 55,0   0,7665  -463,17   2,1092   1,1747   1,6680  1129,96  -0,3797  0,00019
 60,0   0,7793  -454,83   2,2544   1,0890   1,6712  1130,19  -0,3708  0,00076
 65,0   0,7930  -446,46   2,3884   1,0473   1,6753  1104,56  -0,3639  0,00244
 70,0   0,8075  -438,08   2,5126   1,0184   1,6760  1069,35  -0,3578  0,00652

 75,0   0,8227  -429,70   2,6282   0,9940   1,6763  1030,81  -0,3509  0,01506
 80,0   0,8388  -421,32   2,7364   0,9716   1,6785   991,11  -0,3421  0,03094
 85,0   0,8558  -412,91   2,8383   0,9508   1,6842   950,89  -0,3306  0,05776
 90,0   0,8741  -404,47   2,9349   0,9314   1,6943   910,23  -0,3156  0,09964
 95,0   0,8936  -395,96   3,0269   0,9133   1,7097   868,97  -0,2963  0,16087

100,0   0,9149  -387,36   3,1151   0,8964   1,7313   826,85  -0,2718  0,24557
105,0   0,9382  -378,63   3,2002   0,8808   1,7607   783,53  -0,2406  0,35736
110,0   0,9641  -369,74   3,2830   0,8666   1,8001   738,58  -0,2007  0,49906
115,0   0,9933  -360,61   3,3641   0,8539   1,8535   691,43  -0,1487  0,67242
120,0   26,146  -177,08   4,8998   0,7355   1,2568   190,00  14,9923  0,86256

125,0   27,951  -171,05   4,9490   0,7069   1,1670   196,96  13,5164  0,87809
130,0   29,660  -165,34   4,9938   0,6964   1,1210   203,10  12,3700  0,89130
135,0   31,306  -159,82   5,0355   0,6901   1,0896   208,82  11,4207  0,90265
140,0   32,905  -154,44   5,0747   0,6851   1,0655   214,24  10,6063  0,91248
145,0   34,467  -149,16   5,1117   0,6807   1,0460   219,40   9,8941  0,92105

150,0   35,998  -143,97   5,1469   0,6769   1,0299   224,36   9,2641  0,92856
155,0   37,504  -138,86   5,1805   0,6736   1,0165   229,13   8,7022  0,93517
160,0   38,989  -133,80   5,2125   0,6708   1,0052   233,74   8,1977  0,94102
165,0   40,457  -128,80   5,2433   0,6684   0,9956   238,20   7,7422  0,94622
170,0   41,909  -123,84   5,2729   0,6663   0,9874   242,53   7,3287  0,95086

175,0   43,348  -118,92   5,3014   0,6646   0,9804   246,74   6,9517  0,95502
180,0   44,776  -114,04   5,3290   0,6631   0,9743   250,84   6,6064  0,95875
185,0   46,194  -109,18   5,3556   0,6618   0,9690   254,85   6,2890  0,96212
190,0   47,603  -104,35   5,3814   0,6607   0,9644   258,76   5,9961  0,96516
195,0   49,004   -99,54   5,4064   0,6598   0,9603   262,58   5,7249  0,96792

200,0   50,398   -94,74   5,4306   0,6590   0,9568   266,33   5,4730  0,97043
250,0   64,075   -47,48   5,6416   0,6568   0,9375   300,38   3,6745  0,98645
300,0   77,476    -0,74   5,8121   0,6609   0,9340   329,90   2,6066  0,99388
350,0   90,739    46,05   5,9563   0,6698   0,9387   356,23   1,8954  0,99772
400,0  103,922    93,22   6,0823   0,6823   0,9487   380,13   1,3909  0,99986

450,0  117,056   140,97   6,1948   0,6969   0,9617   402,15   1,0190  1,00110
500,0  130,157   189,42   6,2968   0,7126   0,9763   422,68   0,7372  1,00183
550,0  143,234   238,61   6,3906   0,7284   0,9913   442,02   0,5193  1,00227
600,0  156,295   288,54   6,4775   0,7436   1,0059   460,40   0,3476  1,00253
650,0  169,343   339,19   6,5586   0,7580   1,0199   477,98   0,2101  1,00267

700,0  182,381   390,52   6,6346   0,7713   1,0329   494,87   0,0984  1,00274
750,0  195,412   442,46   6,7063   0,7836   1,0449   511,17   0,0063  1,00276
800,0  208,437   494,99   6,7741   0,7947   1,0558   526,95  -0,0706  1,00275
850,0  221,458   548,03   6,8384   0,8049   1,0658   542,26  -0,1354  1,00272
900,0  234,475   601,55   6,8996   0,8141   1,0748   557,15  -0,1906  1,00267



Tabelle 44.5. Zustandsgrößen Volumen v, Enthalpie h, Entropie s, isochore Wärmekapazität cv, isobare Wärmekapazität cp, Schallgeschwindigkeit a, Joule- Thomson-Koeffizient μ und Fugazität f von Sauerstoff beim kritischen Druck p = 5,043 MPa. Weitere Angaben siehe Tabelle 44.1.
-----------------------------------------------------------------------------
   T       v        h       s       
cv       cp       a        μ       f/p 
   K    dm³/kg    kJ/kg  kJ/kg K   kJ/kg K  kJ/kg K   m/s     K/MPa         
-----------------------------------------------------------------------------

 54,94  0,7638  -460,72   2,0977   1,1686   1,6541  1141,96  -0,3832  0,00005
 55,0   0,7639  -460,61   2,0995   1,1670   1,6541  1142,23  -0,3830  0,00005
 60,0   0,7764  -452,32   2,2438   1,0905   1,6626  1141,29  -0,3734  0,00019
 65,0   0,7898  -443,99   2,3771   1,0525   1,6678  1115,79  -0,3667  0,00059
 70,0   0,8038  -435,65   2,5008   1,0252   1,6680  1081,44  -0,3613  0,00155

 75,0   0,8185  -427,32   2,6158   1,0014   1,6668  1044,15  -0,3555  0,00354
 80,0   0,8339  -418,98   2,7234   0,9794   1,6667  1005,97  -0,3482  0,00722
 85,0   0,8502  -410,64   2,8245   0,9588   1,6695   967,52  -0,3385  0,01339
 90,0   0,8675  -402,28   2,9201   0,9394   1,6758   928,89  -0,3260  0,02297
 95,0   0,8860  -393,88   3,0109   0,9212   1,6864   889,98  -0,3101  0,03690

100,0   0,9058  -385,41   3,0978   0,9043   1,7016   850,63  -0,2899  0,05610
105,0   0,9273  -376,85   3,1813   0,8886   1,7223   810,62  -0,2648  0,08137
110,0   0,9508  -368,18   3,2620   0,8741   1,7496   769,73  -0,2335  0,11331
115,0   0,9768  -359,34   3,3405   0,8608   1,7852   727,67  -0,1941  0,15234
120,0   1,0059  -350,31   3,4174   0,8488   1,8317   684,09  -0,1442  0,19861

125,0   1,0390  -341,00   3,4934   0,8384   1,8936   638,54  -0,0797  0,25200
130,0   1,0775  -331,33   3,5692   0,8298   1,9786   590,37   0,0059  0,31211
135,0   1,1238  -321,15   3,6461   0,8238   2,1015   538,60   0,1238  0,37825
140,0   1,1820  -310,20   3,7257   0,8217   2,2948   481,54   0,2967  0,44941
145,0   1,2614  -297,95   3,8117   0,8268   2,6492   415,95   0,5772  0,52417

150,0   1,3910  -282,86   3,9139   0,8524   3,5717   333,20   1,1386  0,60039
155,0   3,2964  -212,74   4,3695   1,1366  16,8083   169,91   6,7216  0,67126
160,0   4,7296  -184,53   4,5494   0,8545   3,1501   195,65   7,4281  0,70706
165,0   5,4726  -171,53   4,6294   0,7967   2,2229   207,46   7,1534  0,73543
170,0   6,0653  -161,46   4,6896   0,7672   1,8490   216,66   6,7996  0,75962

175,0   6,5824  -152,78   4,7399   0,7475   1,6405   224,59   6,4503  0,78075
180,0   7,0524  -144,94   4,7841   0,7329   1,5057   231,70   6,1223  0,79944
185,0   7,4898  -137,66   4,8240   0,7216   1,4108   238,21   5,8184  0,81612
190,0   7,9032  -130,79   4,8607   0,7125   1,3403   244,26   5,5377  0,83109
195,0   8,2979  -124,23   4,8947   0,7052   1,2858   249,94   5,2782  0,84460

200,0   8,6778  -117,91   4,9267   0,6991   1,2425   255,31   5,0379  0,85685
250,0   12,034   -61,63   5,1787   0,6731   1,0544   298,72   3,3505  0,93461
300,0   15,026   -10,48   5,3653   0,6704   1,0009   332,29   2,3703  0,97077
350,0   17,868    39,02   5,5180   0,6762   0,9828   360,71   1,7219  0,98957
400,0   20,629    88,05   5,6489   0,6870   0,9800   385,79   1,2616  1,00003

450,0   23,342   137,16   5,7646   0,7006   0,9852   408,50   0,9210  1,00608
500,0   26,022   186,63   5,8688   0,7155   0,9944   429,43   0,6618  1,00966
550,0   28,680   236,63   5,9641   0,7307   1,0057   449,02   0,4603  1,01179
600,0   31,322   287,22   6,0522   0,7456   1,0177   467,52   0,3008  1,01302
650,0   33,953   338,40   6,1341   0,7596   1,0296   485,16   0,1725  1,01369

700,0   36,574   390,17   6,2108   0,7727   1,0410   502,06   0,0678  1,01401
750,0   39,188   442,49   6,2830   0,7848   1,0518   518,34  -0,0189  1,01409
800,0   41,797   495,33   6,3512   0,7958   1,0618   534,08  -0,0914  1,01402
850,0   44,401   548,65   6,4159   0,8058   1,0709   549,33  -0,1528  1,01385
900,0   47,001   602,41   6,4773   0,8148   1,0793   564,15  -0,2054  1,01361



Tabelle 44.6. Zustandsgrößen Volumen v, Enthalpie h, Entropie s, isochore Wärmekapazität cv, isobare Wärmekapazität cp, Schallgeschwindigkeit a, Joule- Thomson-Koeffizient μ und Fugazität f von Sauerstoff beim Druck p = 10 MPa. Weitere Angaben siehe Tabelle 44.1.
-----------------------------------------------------------------------------
   T       v        h       s       
cv       cp       a        μ       f/p 
   K    dm³/kg    kJ/kg  kJ/kg K   kJ/kg K  kJ/kg K   m/s     K/MPa         
-----------------------------------------------------------------------------

 55,50  0,7620  -456,65   2,1028   1,1486   1,6395  1158,38  -0,3857  0,00004
 60,0   0,7730  -449,24   2,2311   1,0924   1,6529  1154,52  -0,3763  0,00012
 65,0   0,7859  -440,96   2,3638   1,0586   1,6597  1129,18  -0,3697  0,00037
 70,0   0,7994  -432,66   2,4868   1,0331   1,6594  1095,79  -0,3651  0,00097
 75,0   0,8136  -424,37   2,6012   1,0102   1,6566  1059,87  -0,3604  0,00220

 80,0   0,8283  -416,09   2,7080   0,9885   1,6543  1023,34  -0,3546  0,00444
 85,0   0,8438  -407,82   2,8083   0,9680   1,6542   986,76  -0,3469  0,00817
 90,0   0,8601  -399,54   2,9029   0,9487   1,6569   950,23  -0,3368  0,01391
 95,0   0,8774  -391,25   2,9926   0,9306   1,6629   913,71  -0,3240  0,02221
100,0   0,8958  -382,91   3,0782   0,9136   1,6724   877,07  -0,3080  0,03360

105,0   0,9156  -374,51   3,1601   0,8979   1,6859   840,20  -0,2883  0,04851
110,0   0,9368  -366,04   3,2389   0,8832   1,7035   802,97  -0,2642  0,06730
115,0   0,9599  -357,47   3,3151   0,8696   1,7262   765,27  -0,2348  0,09021
120,0   0,9852  -348,77   3,3891   0,8570   1,7546   726,96  -0,1988  0,11733
125,0   1,0131  -339,91   3,4615   0,8456   1,7903   687,89  -0,1546  0,14861

130,0   1,0443  -330,85   3,5325   0,8354   1,8353   647,91  -0,0997  0,18389
135,0   1,0797  -321,54   3,6028   0,8265   1,8924   606,84  -0,0309  0,22284
140,0   1,1205  -311,90   3,6729   0,8191   1,9663   564,48   0,0570  0,26503
145,0   1,1685  -301,84   3,7435   0,8136   2,0641   520,61   0,1714  0,30990
150,0   1,2267  -291,20   3,8156   0,8104   2,1974   475,05   0,3244  0,35678

155,0   1,2999  -279,77   3,8906   0,8103   2,3855   427,84   0,5349  0,40487
160,0   1,3966  -267,20   3,9703   0,8137   2,6592   379,65   0,8337  0,45320
165,0   1,5326  -252,98   4,0578   0,8203   3,0505   332,57   1,2647  0,50064
170,0   1,7331  -236,59   4,1556   0,8271   3,4932   291,48   1,8587  0,54578
175,0   2,0184  -218,50   4,2605   0,8274   3,6601   263,41   2,5486  0,58718

180,0   2,3626  -200,91   4,3597   0,8161   3,3117   250,86   3,1261  0,62399
185,0   2,7092  -185,64   4,4434   0,7983   2,8017   248,47   3,4715  0,65638
190,0   3,0317  -172,70   4,5124   0,7803   2,3941   250,55   3,6359  0,68503
195,0   3,3279  -161,50   4,5706   0,7642   2,1030   254,43   3,6890  0,71061
200,0   3,6017  -151,54   4,6211   0,7506   1,8945   259,00   3,6764  0,73361

250,0   5,7294   -78,99   4,9474   0,6918   1,2244   303,91   2,7950  0,87858
300,0   7,4309   -21,87   5,1561   0,6809   1,0860   339,35   2,0332  0,94647
350,0   8,9805    30,98   5,3191   0,6834   1,0358   368,85   1,4929  0,98205
400,0   10,453    82,21   5,4560   0,6923   1,0168   394,54   1,0974  1,00192
450,0   11,880   132,90   5,5754   0,7046   1,0123   417,57   0,7991  1,01343

500,0   13,277   183,57   5,6821   0,7187   1,0154   438,67   0,5690  1,02022
550,0   14,653   234,50   5,7792   0,7334   1,0223   458,31   0,3882  1,02422
600,0   16,015   285,83   5,8685   0,7477   1,0312   476,82   0,2438  1,02652
650,0   17,365   337,63   5,9514   0,7615   1,0408   494,41   0,1267  1,02775
700,0   18,707   389,91   6,0289   0,7743   1,0504   511,24   0,0305  1,02829

750,0   20,043   442,67   6,1017   0,7861   1,0598   527,43  -0,0495  1,02838
800,0   21,373   495,88   6,1704   0,7969   1,0686   543,07  -0,1169  1,02819
850,0   22,699   549,52   6,2354   0,8068   1,0769   558,22  -0,1742  1,02781
900,0   24,022   603,56   6,2972   0,8157   1,0845   572,93  -0,2234  1,02731



Tabelle 44.7. Zustandsgrößen Volumen v, Enthalpie h, Entropie s, isochore Wärmekapazität cv, isobare Wärmekapazität cp, Schallgeschwindigkeit a, Joule- Thomson-Koeffizient μ und Fugazität f von Sauerstoff beim Druck p = 80 MPa. Weitere Angaben siehe Tabelle 44.1.
-----------------------------------------------------------------------------
   T       v        h       s       
cv       cp       a        μ       f/p 
   K    dm³/kg    kJ/kg  kJ/kg K   kJ/kg K  kJ/kg K   m/s     K/MPa         
-----------------------------------------------------------------------------

 63,01  0,7406  -400,73   2,1596   1,1186   1,5977  1307,74  -0,3900  0,00078
 65,0   0,7444  -397,54   2,2094   1,1191   1,6050  1297,81  -0,3877  0,00110
 70,0   0,7538  -389,51   2,3286   1,1108   1,6073  1272,06  -0,3863  0,00239
 75,0   0,7633  -381,49   2,4392   1,0947   1,5977  1246,46  -0,3878  0,00463
 80,0   0,7730  -373,54   2,5419   1,0756   1,5838  1221,55  -0,3903  0,00815

 85,0   0,7827  -365,65   2,6374   1,0560   1,5692  1197,45  -0,3927  0,01329
 90,0   0,7926  -357,84   2,7267   1,0368   1,5554  1174,11  -0,3947  0,02038
 95,0   0,8026  -350,10   2,8105   1,0186   1,5428  1151,49  -0,3961  0,02965
100,0   0,8127  -342,41   2,8893   1,0016   1,5315  1129,54  -0,3969  0,04128
105,0   0,8230  -334,78   2,9638   0,9856   1,5214  1108,20  -0,3971  0,05537

110,0   0,8336  -327,20   3,0344   0,9707   1,5123  1087,45  -0,3968  0,07195
115,0   0,8443  -319,66   3,1014   0,9568   1,5041  1067,27  -0,3959  0,09098
120,0   0,8552  -312,15   3,1653   0,9437   1,4966  1047,64  -0,3945  0,11234
125,0   0,8663  -304,69   3,2262   0,9314   1,4896  1028,55  -0,3927  0,13588
130,0   0,8777  -297,26   3,2845   0,9198   1,4831  1009,99  -0,3905  0,16141

135,0   0,8893  -289,86   3,3404   0,9088   1,4769   991,97  -0,3879  0,18872
140,0   0,9016  -282,49   3,3940   0,8984   1,4709   974,47  -0,3849  0,21756
145,0   0,9132  -275,15   3,4455   0,8886   1,4651   957,50  -0,3816  0,24771
150,0   0,9256  -267,84   3,4950   0,8792   1,4594   941,05  -0,3780  0,27892
155,0   0,9382  -260,55   3,5428   0,8703   1,4539   925,13  -0,3742  0,31095

160,0   0,9510  -253,30   3,5889   0,8619   1,4484   909,73  -0,3700  0,34360
165,0   0,9641  -246,07   3,6334   0,8538   1,4429   894,85  -0,3656  0,37664
170,0   0,9775  -238,87   3,6764   0,8462   1,4374   880,50  -0,3609  0,40988
175,0   0,9911  -231,70   3,7179   0,8388   1,4319   866,67  -0,3560  0,44315
180,0   1,0050  -224,55   3,7582   0,8319   1,4265   853,35  -0,3509  0,47628

185,0   1,0191  -217,43   3,7972   0,8253   1,4209   840,55  -0,3455  0,50914
190,0   1,0335  -210,34   3,8350   0,8190   1,4154   828,26  -0,3401  0,54161
195,0   1,0482  -203,28   3,8717   0,8130   1,4098   816,48  -0,3344  0,57356
200,0   1,0631  -196,24   3,9074   0,8073   1,4041   805,19  -0,3287  0,60492
250,0   1,2252  -127,50   4,2144   0,7638   1,3446   717,71  -0,2693  0,87409

300,0   1,4055   -61,81   4,4541   0,7398   1,2838   667,98  -0,2226  1,05632
350,0   1,5958     1,00   4,6479   0,7296   1,2305   643,16  -0,2004  1,16907
400,0   1,7894    61,46   4,8094   0,7287   1,1900   633,17  -0,1999  1,23522
450,0   1,9828   120,22   4,9478   0,7337   1,1622   631,69  -0,2136  1,27202
500,0   2,1745   177,85   5,0693   0,7423   1,1443   635,15  -0,2349  1,29070

550,0   2,3639   234,77   5,1778   0,7527   1,1336   641,56  -0,2595  1,29826
600,0   2,5509   291,29   5,2761   0,7638   1,1278   649,77  -0,2850  1,29901
650,0   2,7355   347,60   5,3663   0,7749   1,1252   659,11  -0,3100  1,29562
700,0   2,9181   403,85   5,4497   0,7856   1,1248   669,15  -0,3339  1,28977
750,0   3,0988   460,10   5,5273   0,7957   1,1256   679,63  -0,3564  1,28250

800,0   3,2779   516,42   5,6000   0,8051   1,1273   690,36  -0,3774  1,27448
850,0   3,4554   572,84   5,6684   0,8138   1,1295   701,24  -0,3970  1,26613
900,0   3,6317   629,38   5,7330   0,8218   1,1319   712,18  -0,4152  1,25772




Abb. 44.1. Spezifische isobare Wärmekapazität cp von Sauerstoff als Funktion des Druckes p und der Temperatur t.



Abb. 44.2. Spezifische isochore Wärmekapazität cv von Sauerstoff als Funktion des Druckes p und der Temperatur t.



Abb. 44.3. Schallgeschwindigkeit a von Sauerstoff als Funktion des Druckes p und der Temperatur t.



Abb. 44.4. Joule-Thomson-Koeffizient μ von Sauerstoff als Funktion des Druckes p und der Temperatur t.


Freitag, 22. November 2013

Zustandsgrößen für das Kältemittel R1234yf (Tetrafluorpropen)

Tabelle 43.1. Dampftafel für das Nassdampfgebiet des Kältemittels R1234yf (2,3,3,3-Tetrafluorpropen). Der Nullpunkt der spezifischen Enthalpie h liegt im gasförmigen Standardzustand (t0 = 25 °C, p0 = 100 kPa) des idealen Gases, die spezifische Entropie s ist die konventionelle (absolute) Entropie basierend auf der Standardentropie S0 = 327,7665 J/(mol K) nach A. Burcat. Um die kalorischen Werte nach IIR zu erhalten, muss zu den Enthalpiewerten Δh = 392,107 kJ/kg addiert und von den Entropiewerten Δs = 1,0974 kJ/(kg K) subtrahiert werden. Berechnet mit der Zustandsgleichung von M. Richter, M.O. McLinden und E.W. Lemmon (J. Chem. Eng. Data 56 (2011) 3254-3264).
-----------------------------------------------------------------------------
   t        p       v'       v"       h'        h"     Δhv      s'       s"
  °C       kPa    dm³/kg   m³/kg    kJ/kg     kJ/kg   kJ/kg  kJ/kg K  kJ/kg K
-----------------------------------------------------------------------------

 -53,15    31,51  0,7538   498,69  -256,02  -64,367  191,65   1,8388   2,7099
 -50,0     37,42  0,7585   424,72  -252,47  -62,257  190,22   1,8548   2,7072
 -45,0     48,62  0,7661   332,59  -246,79  -58,898  187,90   1,8799   2,7035
 -40,0     62,37  0,7741   263,54  -241,04  -55,530  185,51   1,9048   2,7005
 -35,0     79,04  0,7823   211,10  -235,21  -52,157  183,05   1,9295   2,6981

 -30,0     99,06  0,7908   170,79  -229,30  -48,785  180,51   1,9540   2,6964
 -25,0    122,86  0,7997   139,45  -223,31  -45,416  177,89   1,9783   2,6952
 -20,0    150,92  0,8089   114,82  -217,24  -42,057  175,18   2,0024   2,6944
 -15,0    183,72  0,8185   95,277  -211,08  -38,712  172,37   2,0264   2,6941
 -10,0    221,78  0,8285   79,623  -204,85  -35,386  169,46   2,0502   2,6942

  -5,0    265,63  0,8391   66,974  -198,52  -32,086  166,43   2,0739   2,6945
   0,0    315,82  0,8501   56,668  -192,11  -28,816  163,29   2,0974   2,6952
   5,0    372,92  0,8618   48,207  -185,60  -25,586  160,02   2,1208   2,6961
  10,0    437,53  0,8741   41,208  -179,00  -22,403  156,60   2,1441   2,6972
  15,0    510,25  0,8871   35,379  -172,31  -19,277  153,03   2,1674   2,6984

  20,0    591,72  0,9010   30,491  -165,51  -16,218  149,29   2,1905   2,6998
  25,0    682,58  0,9158   26,368  -158,61  -13,240  145,37   2,2136   2,7011
  30,0    783,51  0,9317   22,868  -151,59  -10,356  141,24   2,2366   2,7025
  35,0    895,21  0,9488   19,880  -144,46   -7,583  136,88   2,2596   2,7038
  40,0   1018,39  0,9673   17,315  -137,21   -4,938  132,27   2,2825   2,7049

  45,0   1153,83  0,9875   15,101  -129,81   -2,444  127,36   2,3056   2,7059
  50,0   1302,32  1,0097   13,178  -122,26   -0,127  122,13   2,3287   2,7066
  55,0   1464,71  1,0344   11,499  -114,52    1,977  116,50   2,3519   2,7069
  60,0   1641,88  1,0623   10,025  -106,58    3,823  110,40   2,3753   2,7067
  65,0   1834,80  1,0944    8,720   -98,39    5,348  103,74   2,3991   2,7059

  70,0   2044,54  1,1322    7,557   -89,89    6,461   96,35   2,4234   2,7042
  75,0   2272,27  1,1781    6,507   -80,99    7,023   88,02   2,4484   2,7012
  80,0   2519,44  1,2361    5,545   -71,56    6,795   78,36   2,4744   2,6963
  85,0   2787,90  1,3150    4,637   -61,29    5,298   66,59   2,5023   2,6883
  90,0   3080,33  1,4408    3,716   -49,32    1,216   50,53   2,5344   2,6736

  94,7   3382,25  2,1028    2,103   -22,55  -22,553    0,00   2,6062   2,6062



Tabelle 43.2. Zustandsgrößen Volumen v, Enthalpie h, Entropie s, isochore Wärmekapazität cv, isobare Wärmekapazität cp, Schallgeschwindigkeit a, Joule- Thomson-Koeffizient μ und Fugazität f für R1234yf beim Druck p = 10 kPa. Weitere Angaben siehe Tabelle 43.1.
-----------------------------------------------------------------------------
   t       v        h       s       
cv       cp       a        μ       f/p 
  °C    dm³/kg    kJ/kg  kJ/kg K   kJ/kg K  kJ/kg K   m/s     K/MPa         
-----------------------------------------------------------------------------

 -50,0  1617,1  -61,245   2,8067   0,6584   0,7337   133,83   49,378  0,99399
 -40,0  1691,1  -53,796   2,8394   0,6811   0,7561   136,65   42,460  0,99488
 -30,0  1764,9  -46,125   2,8716   0,7034   0,7780   139,41   36,663  0,99560
 -20,0  1838,6  -38,236   2,9034   0,7252   0,7996   142,10   31,815  0,99620
 -10,0  1912,2  -30,135   2,9347   0,7465   0,8207   144,75   27,763  0,99669

   0,0  1985,7  -21,824   2,9657   0,7674   0,8414   147,34   24,371  0,99710
  10,0  2059,1  -13,309   2,9963   0,7878   0,8616   149,88   21,526  0,99744
  20,0  2132,4   -4,593   3,0266   0,8078   0,8815   152,37   19,129  0,99773
  25,0  2169,1   -0,161   3,0416   0,8176   0,8913   153,61   18,074  0,99786
  30,0  2205,7    4,320   3,0565   0,8273   0,9009   154,83   17,102  0,99798

  40,0  2279,0   13,424   3,0860   0,8464   0,9199   157,24   15,379  0,99820
  50,0  2352,2   22,717   3,1152   0,8650   0,9385   159,62   13,906  0,99838
  60,0  2425,4   32,193   3,1441   0,8832   0,9567   161,96   12,639  0,99854
  70,0  2498,5   41,848   3,1727   0,9010   0,9744   164,27   11,542  0,99868
  80,0  2571,6   51,679   3,2009   0,9184   0,9917   166,54   10,588  0,99880

  90,0  2644,7   61,681   3,2288   0,9353   1,0086   168,79    9,753  0,99891
 100,0  2717,8   71,850   3,2565   0,9518   1,0251   171,00    9,018  0,99901
 110,0  2790,9   82,182   3,2838   0,9679   1,0412   173,19    8,367  0,99909
 120,0  2864,0   92,672   3,3108   0,9836   1,0568   175,34    7,788  0,99917
 130,0  2937,0  103,317   3,3376   0,9989   1,0721   177,48    7,270  0,99924

 140,0  3010,1  114,112   3,3640   1,0137   1,0869   179,58    6,804  0,99930



Tabelle 43.3. Zustandsgrößen Volumen v, Enthalpie h, Entropie s, isochore Wärmekapazität cv, isobare Wärmekapazität cp, Schallgeschwindigkeit a, Joule- Thomson-Koeffizient μ und Fugazität f für R1234yf beim Druck p = 100 kPa. Weitere Angaben siehe Tabelle 43.1.
-----------------------------------------------------------------------------
   t       v        h       s       
cv       cp       a        μ       f/p 
  °C    dm³/kg    kJ/kg  kJ/kg K   kJ/kg K  kJ/kg K   m/s     K/MPa         
-----------------------------------------------------------------------------

 -50,0  0,7584  -252,45   1,8547   0,7613   1,1277   783,19  -0,3737  0,36687
 -40,0  0,7740  -241,02   1,9047   0,7839   1,1574   736,14  -0,3430  0,60475
 -30,0  0,7908  -229,30   1,9540   0,8059   1,1883   690,38  -0,3085  0,94740
 -20,0  177,26  -40,618   2,7286   0,7382   0,8279   138,05   33,292  0,96196
 -10,0  185,29  -32,256   2,7610   0,7577   0,8447   141,15   28,879  0,96690

   0,0  193,20  -23,724   2,7928   0,7769   0,8617   144,13   25,227  0,97101
  10,0  201,03  -15,020   2,8241   0,7958   0,8790   146,99   22,190  0,97446
  20,0  208,78   -6,143   2,8549   0,8146   0,8963   149,77   19,650  0,97737
  25,0  212,64   -1,640   2,8702   0,8238   0,9050   151,13   18,537  0,97866
  30,0  216,48    2,907   2,8853   0,8330   0,9137   152,47   17,515  0,97985

  40,0  224,13   12,130   2,9152   0,8512   0,9309   155,10   15,707  0,98198
  50,0  231,73   21,525   2,9448   0,8691   0,9481   157,66   14,168  0,98381
  60,0  239,30   31,091   2,9739   0,8867   0,9650   160,17   12,850  0,98541
  70,0  246,84   40,825   3,0027   0,9040   0,9818   162,62   11,714  0,98680
  80,0  254,36   50,725   3,0311   0,9210   0,9982   165,03   10,727  0,98803

  90,0  261,86   60,788   3,0592   0,9375   1,0144   167,39    9,866  0,98911
 100,0  269,33   71,012   3,0870   0,9537   1,0303   169,71    9,110  0,99007
 110,0  276,79   81,392   3,1145   0,9696   1,0458   171,99    8,442  0,99093
 120,0  284,24   91,927   3,1416   0,9851   1,0610   174,24    7,849  0,99170
 130,0  291,68  102,611   3,1684   1,0001   1,0759   176,45    7,320  0,99239

 140,0  299,10  113,443   3,1950   1,0149   1,0904   178,63    6,845  0,99302



Tabelle 43.4. Zustandsgrößen Volumen v, Enthalpie h, Entropie s, isochore Wärmekapazität cv, isobare Wärmekapazität cp, Schallgeschwindigkeit a, Joule- Thomson-Koeffizient μ und Fugazität f für R1234yf beim Druck p = 1 MPa. Weitere Angaben siehe Tabelle 43.1.
-----------------------------------------------------------------------------
   t       v        h       s       
cv       cp       a        μ       f/p 
  °C    dm³/kg    kJ/kg  kJ/kg K   kJ/kg K  kJ/kg K   m/s     K/MPa         
-----------------------------------------------------------------------------

 -50,0  0,7572  -252,07   1,8533   0,7616   1,1257   788,95  -0,3771  0,03826
 -40,0  0,7726  -240,66   1,9033   0,7840   1,1550   742,41  -0,3473  0,06300
 -30,0  0,7891  -228,96   1,9524   0,8059   1,1853   697,20  -0,3140  0,09862
 -20,0  0,8069  -216,95   2,0008   0,8270   1,2168   653,00  -0,2762  0,14764
 -10,0  0,8264  -204,62   2,0486   0,8472   1,2497   609,41  -0,2323  0,21250

   0,0  0,8478  -191,95   2,0958   0,8664   1,2846   566,05  -0,1802  0,29537
  10,0  0,8717  -178,92   2,1427   0,8849   1,3222   522,44  -0,1164  0,39796
  20,0  0,8988  -165,49   2,1893   0,9026   1,3641   478,09  -0,0357  0,52138
  25,0  0,9139  -158,62   2,2126   0,9113   1,3873   455,47   0,0136  0,59106
  30,0  0,9302  -151,62   2,2358   0,9200   1,4127   432,45   0,0708  0,66602

  40,0  17,758   -4,478   2,7074   0,9205   1,1569   127,33   21,417  0,82036
  50,0  19,043    6,894   2,7432   0,9252   1,1212   133,60   18,231  0,83944
  60,0  20,216   18,003   2,7770   0,9322   1,1027   139,00   15,851  0,85575
  70,0  21,314   28,981   2,8095   0,9413   1,0944   143,79   13,990  0,86986
  80,0  22,356   39,911   2,8409   0,9520   1,0924   148,14   12,485  0,88217

  90,0  23,356   50,842   2,8714   0,9636   1,0945   152,16   11,241  0,89299
 100,0  24,323   61,809   2,9012   0,9759   1,0993   155,90   10,194  0,90256
 110,0  25,262   72,834   2,9304   0,9885   1,1059   159,42    9,302  0,91107
 120,0  26,180   83,932   2,9590   1,0014   1,1139   162,76    8,533  0,91867
 130,0  27,079   95,115   2,9870   1,0143   1,1228   165,94    7,864  0,92549

 140,0  27,962  106,390   3,0147   1,0272   1,1323   168,99    7,278  0,93163



Tabelle 43.5. Zustandsgrößen Volumen v, Enthalpie h, Entropie s, isochore Wärmekapazität cv, isobare Wärmekapazität cp, Schallgeschwindigkeit a, Joule- Thomson-Koeffizient μ und Fugazität f für R1234yf beim kritischen Druck p = 3,38224 MPa. Weitere Angaben siehe Tabelle 43.1.
-----------------------------------------------------------------------------
   t       v        h       s       
cv       cp       a        μ       f/p 
  °C    dm³/kg    kJ/kg  kJ/kg K   kJ/kg K  kJ/kg K   m/s     K/MPa         
-----------------------------------------------------------------------------

 -50,0  0,7540  -251,05   1,8498   0,7621   1,1209   803,77  -0,3855  0,01263
 -40,0  0,7689  -239,70   1,8996   0,7843   1,1492   758,46  -0,3577  0,02075
 -30,0  0,7847  -228,06   1,9484   0,8060   1,1781   714,60  -0,3271  0,03241
 -20,0  0,8018  -216,13   1,9965   0,8268   1,2079   671,89  -0,2929  0,04843
 -10,0  0,8202  -203,90   2,0439   0,8467   1,2385   630,01  -0,2541  0,06959

   0,0  0,8403  -191,36   2,0907   0,8657   1,2701   588,64  -0,2092  0,09661
  10,0  0,8624  -178,49   2,1369   0,8839   1,3033   547,46  -0,1559  0,13004
  20,0  0,8871  -165,29   2,1827   0,9013   1,3387   506,15  -0,0913  0,17028
  25,0  0,9005  -158,55   2,2055   0,9098   1,3575   485,35  -0,0534  0,19302
  30,0  0,9149  -151,71   2,2283   0,9182   1,3773   464,42  -0,0108  0,21750

  40,0  0,9468  -137,72   2,2737   0,9350   1,4212   422,10   0,0931  0,27161
  50,0  0,9844  -123,25   2,3192   0,9516   1,4749   378,78   0,2347  0,33229
  60,0  1,0304  -108,16   2,3651   0,9678   1,5470   333,27   0,4438  0,39888
  70,0  1,0900  -92,195   2,4124   0,9850   1,6556   283,29    0,787  0,47037
  80,0  1,1767  -74,749   2,4625   1,0092   1,8606   225,75    1,453  0,54527

  90,0  1,3462  -53,501   2,5217   1,0618   2,6187   151,57    3,491  0,62094
 100,0  3,9846   17,253   2,7140   1,1100   2,6767    99,72   16,237  0,67650
 110,0  4,9114   38,089   2,7691   1,0747   1,7651   115,33   13,121  0,70890
 120,0  5,5552   54,408   2,8112   1,0675   1,5338   125,98   11,133  0,73592
 130,0  6,0867   69,159   2,8482   1,0678   1,4276   134,42    9,706  0,75935

 140,0  6,5543   83,114   2,8824   1,0716   1,3687   141,53    8,610  0,78001



Tabelle 43.6. Zustandsgrößen Volumen v, Enthalpie h, Entropie s, isochore Wärmekapazität cv, isobare Wärmekapazität cp, Schallgeschwindigkeit a, Joule- Thomson-Koeffizient μ und Fugazität f für R1234yf beim Druck p = 10 MPa. Weitere Angaben siehe Tabelle 43.1.
-----------------------------------------------------------------------------
   t       v        h       s       
cv       cp       a        μ       f/p 
  °C    dm³/kg    kJ/kg  kJ/kg K   kJ/kg K  kJ/kg K   m/s     K/MPa         
-----------------------------------------------------------------------------

 -50,0  0,7460  -248,13   1,8407   0,7638   1,1098   842,04  -0,4048  0,00580
 -40,0  0,7596  -236,90   1,8899   0,7855   1,1358   799,57  -0,3813  0,00945
 -30,0  0,7740  -225,41   1,9381   0,8066   1,1621   758,72  -0,3563  0,01466
 -20,0  0,7892  -213,66   1,9855   0,8269   1,1884   719,26  -0,3293  0,02178
 -10,0  0,8055  -201,64   2,0320   0,8463   1,2147   680,95  -0,2998  0,03115

   0,0  0,8228  -189,36   2,0778   0,8649   1,2410   643,59  -0,2675  0,04307
  10,0  0,8415  -176,82   2,1229   0,8827   1,2673   607,01  -0,2315  0,05779
  20,0  0,8616  -164,02   2,1674   0,8997   1,2935   571,07  -0,1909  0,07548
  25,0  0,8723  -157,52   2,1893   0,9080   1,3066   553,32  -0,1686  0,08548
  30,0  0,8835  -150,95   2,2112   0,9162   1,3198   535,70  -0,1448  0,09626

  40,0  0,9074  -137,62   2,2544   0,9322   1,3464   500,91  -0,0917  0,12013
  50,0  0,9337  -124,02   2,2972   0,9479   1,3736   466,72  -0,0295  0,14703
  60,0  0,9629  -110,15   2,3395   0,9633   1,4018   433,13   0,0443  0,17679
  70,0  0,9955   -95,98   2,3814   0,9785   1,4316   400,12   0,1335  0,20919
  80,0  1,0323   -81,51   2,4229   0,9938   1,4635   367,75   0,2426  0,24390

  90,0  1,0744   -66,70   2,4643   1,0095   1,4986   336,26   0,3778  0,28056
 100,0  1,1232   -51,52   2,5055   1,0257   1,5383   306,01   0,5477  0,31873
 110,0  1,1805  -35,915   2,5468   1,0422   1,5837   277,38    0,763  0,35792
 120,0  1,2489  -19,825   2,5882   1,0590   1,6353   250,87    1,037  0,39759
 130,0  1,3314   -3,197   2,6300   1,0758   1,6906   227,20    1,376  0,43716

 140,0  1,4313   13,974   2,6721   1,0925   1,7421   207,28    1,771  0,47603



Tabelle 43.7. Zustandsgrößen Volumen v, Enthalpie h, Entropie s, isochore Wärmekapazität cv, isobare Wärmekapazität cp, Schallgeschwindigkeit a, Joule- Thomson-Koeffizient μ und Fugazität f für R1234yf beim Druck p = 30 MPa. Weitere Angaben siehe Tabelle 43.1.
-----------------------------------------------------------------------------
   t       v        h       s       
cv       cp       a        μ       f/p 
  °C    dm³/kg    kJ/kg  kJ/kg K   kJ/kg K  kJ/kg K   m/s     K/MPa         
-----------------------------------------------------------------------------

 -50,0  0,7264  -238,79   1,8166   0,7693   1,0880   939,43  -0,4423  0,00477
 -40,0  0,7376  -227,79   1,8648   0,7900   1,1106   902,49  -0,4256  0,00760
 -30,0  0,7491  -216,58   1,9119   0,8102   1,1329   867,23  -0,4087  0,01153
 -20,0  0,7611  -205,14   1,9580   0,8297   1,1547   833,50  -0,3916  0,01680
 -10,0  0,7736  -193,48   2,0031   0,8485   1,1759   801,15  -0,3742  0,02362

   0,0  0,7865  -181,62   2,0474   0,8666   1,1963   770,04  -0,3564  0,03216
  10,0  0,7999  -169,56   2,0907   0,8841   1,2160   740,08  -0,3383  0,04258
  20,0  0,8140  -157,31   2,1333   0,9010   1,2348   711,22  -0,3198  0,05499
  25,0  0,8212  -151,11   2,1542   0,9093   1,2439   697,18  -0,3104  0,06195
  30,0  0,8285  -144,87   2,1750   0,9175   1,2527   683,41  -0,3009  0,06943

  40,0  0,8438  -132,25   2,2159   0,9336   1,2698   656,65  -0,2816  0,08593
  50,0  0,8596  -119,48   2,2561   0,9493   1,2859   630,96  -0,2618  0,10447
  60,0  0,8761  -106,54   2,2955   0,9648   1,3012   606,36  -0,2416  0,12496
  70,0  0,8933   -93,45   2,3342   0,9802   1,3157   582,87  -0,2210  0,14731
  80,0  0,9113   -80,23   2,3722   0,9953   1,3295   560,52  -0,1999  0,17139

  90,0  0,9299   -66,87   2,4095   1,0103   1,3426   539,31  -0,1784  0,19702
 100,0  0,9493   -53,38   2,4461   1,0252   1,3551   519,27  -0,1563  0,22405
 110,0  0,9694   -39,77   2,4821   1,0399   1,3672   500,37  -0,1337  0,25228
 120,0  0,9904   -26,04   2,5175   1,0545   1,3790   482,61  -0,1104  0,28151
 130,0  1,0121   -12,19   2,5523   1,0689   1,3905   465,96  -0,0863  0,31156

 140,0  1,0346     1,77   2,5865   1,0830   1,4018   450,37  -0,0615  0,34223




Abb. 43.1. Spezifische isobare Wärmekapazität cp von R1234yf als Funktion des Druckes p und der Temperatur t.



Abb. 43.2. Spezifische isochore Wärmekapazität cv von R1234yf als Funktion des Druckes p und der Temperatur t.



Abb. 43.3. Schallgeschwindigkeit a von R1234yf als Funktion des Druckes p und der Temperatur t.



Abb. 43.4. Joule-Thomson-Koeffizient μ von R1234yf als Funktion des Druckes p und der Temperatur t.



Abb. 43.5. Druck/Enthalpie-Diagramm von R1234yf. Der Referenzzustand nach IIR ist t = 0°C bei siedender Flüssigkeit mit h = 200 kJ/kg und s = 1 kJ/kg K. Die Einheit des spezifischen Volumens v ist m³/kg.



Abb. 43.6. Dynamische Viskosität η von R1234yf als Funktion des Drucks p und der Temperatur t.



Abb. 43.7. Wärmeleitfähigkeit λ von R1234yf als Funktion des Drucks p und der Temperatur t.